400 MHz in CDCl3
-
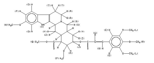
1H NMR 399.65 MHz C35 H42 N2 O9 0.038 g : 0.5 ml CDCl3 rescinnamine 
Assign. Shift(ppm)
A 7.833 B 7.639 C 7.329 D 6.836 E 6.771 F 6.77 G 6.369 J 4.949 K 4.441 L 3.904 M 3.890 N *1 3.826 P *1 3.820 Q 3.515 R 3.15 S 3.01 T 2.95 U 2.668 T 2.47 S 2.43 V *2 2.29 W 2.24 X 2.03 Y 1.93 Z *2 1.83 PARTIALLY ASSIGNED BY C-H COSY.
Hz ppm Int.3130.95 7.835 71 3061.22 7.660 71 3045.20 7.620 76 2933.65 7.341 66 2925.11 7.320 72 2733.31 6.840 79 2731.17 6.834 88 2710.27 6.782 72 2707.98 6.776 87 2705.99 6.771 305 2701.72 6.761 62 2699.43 6.755 50 2553.41 6.390 97 2537.54 6.350 92 1560.36 3.905 1000 1554.87 3.891 773 1551.67 3.883 30 1529.08 3.827 650 1526.79 3.821 534 1404.88 3.516 473 1265.72 3.168 34 1263.89 3.163 37 1259.77 3.153 46 1074.22 2.688 30 1069.49 2.677 30 1058.20 2.648 30 974.43 2.439 31 973.82 2.437 31 973.21 2.436 31 915.53 2.291 30 902.56 2.259 40 737.30 1.845 32 736.85 1.844 32
更多供应商




