图谱信息 供应商 相关产品
网站主页CAS数据库列表 2496-90-4更多图谱4-羟基苯甲酸-2-羟基乙酯(2496-90-4)红外图谱(IR1)

4-羟基苯甲酸-2-羟基乙酯

产品名称 4-羟基苯甲酸-2-羟基乙酯

CAS号2496-90-4

分子式C9H10O4

分子量182.17

展开


  • Mass

    MS-IW-0834          
    2-hydroxyethyl p-hydroxybenzoate
    C9H10O4             (Mass of molecular ion:    182)
    

       Source Temperature: 130 °C
       Sample Temperature: 100 °C
       Direct, 75 eV
    

          18.0       2.7
          28.0       1.0
          39.0       3.3
          63.0       1.0
          65.0       8.3
          93.0      16.2
          94.0       1.3
          95.0       1.9
         120.0       1.1
         121.0     100.0
         122.0       8.0
         138.0      29.6
         139.0      36.4
         140.0       2.9
         151.0       1.6
         182.0       9.6
         183.0       1.4
    

400 MHz in DMSO-d6


  • 1H NMR 399.65 MHz
    C9 H10 O4 0.035 g : 0.5 ml DMSO-d6
    2-hydroxyethyl p-hydroxybenzoate
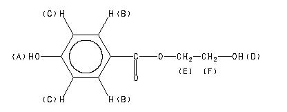
    ChemicalStructure
        Assign.     Shift(ppm)
    A 10.34 B 7.872 C 6.872 D 4.9 E 4.233 F 3.696

         Hz     ppm     Int.
    

       4131.01  10.337    881
       3153.23   7.890     95
       3150.48   7.884    913
       3148.50   7.879    275
       3143.77   7.867    283
       3141.78   7.862    931
       3139.04   7.855    121
       2753.60   6.891    112
       2750.85   6.884   1000
       2748.87   6.879    287
       2744.14   6.867    288
       2742.16   6.862    909
       2739.26   6.855    125
       1964.57   4.916     41
       1696.93   4.247    458
       1692.05   4.234    561
       1686.86   4.221    499
       1482.39   3.710    356
       1477.20   3.697    460
       1472.32   3.685    329
    

in DMSO-d6



KBr disc



nujol mull