-
MS-IW-4101 dimethyl trans-3-hexenedioate C8H12O4 (Mass of molecular ion: 172)
Source Temperature: 220 °C Sample Temperature: 150 °C Reservoir, 75 eV
15.0 33.8 26.0 1.3 27.0 10.6 28.0 6.9 29.0 3.2 31.0 1.9 39.0 12.0 40.0 1.0 41.0 34.6 42.0 3.3 43.0 8.7 44.0 1.1 45.0 2.8 50.0 1.3 51.0 2.9 52.0 2.3 53.0 17.2 54.0 22.3 55.0 10.5 57.0 1.1 59.0 88.7 60.0 2.3 67.0 2.2 68.0 3.3 69.0 5.3 71.0 99.7 72.0 6.1 74.0 9.0 75.0 1.2 80.0 4.5 81.0 22.9 82.0 4.9 83.0 2.0 84.0 1.0 85.0 3.4 87.0 1.2 91.0 1.5 97.0 5.6 98.0 6.0 99.0 3.6 101.0 3.9 108.0 88.1 109.0 6.1 111.0 3.5 112.0 16.6 113.0 58.2 114.0 4.6 127.0 4.5 130.0 2.7 140.0 100.0 141.0 17.5 142.0 1.7 172.0 2.1
400 MHz in CDCl3
-
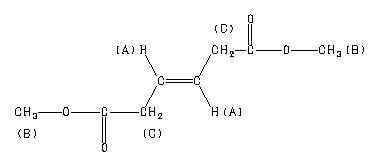
1H NMR 399.65 MHz C8 H12 O4 0.05 ml : 0.5 ml CDCl3 dimethyl trans-3-hexenedioate 
Assign. Shift(ppm)
A 5.699 B 3.687 C 3.105
Hz ppm Int.2283.17 5.713 79 2281.49 5.709 126 2279.36 5.704 140 2277.68 5.700 206 2276.00 5.695 135 2273.86 5.690 122 2272.19 5.686 70 1473.54 3.688 1000 1243.59 3.112 399 1242.07 3.108 235 1239.78 3.103 236 1238.10 3.098 366
更多供应商




