图谱信息 供应商 相关产品
网站主页CAS数据库列表 25235-85-2更多图谱4-氯吲哚(25235-85-2)红外图谱(IR1)

4-氯吲哚

产品名称 4-氯吲哚

CAS号25235-85-2

分子式C8H6ClN

分子量151.59

展开


  • Mass

    MS-IW-1275          
    4-chloroindole
    C8H6ClN             (Mass of molecular ion:    151)
    

       Source Temperature: 230 °C
       Sample Temperature: 160 °C
       Reservoir, 75 eV
    

          39.0       1.4
          57.5       3.6
          61.0       1.3
          62.0       3.9
          63.0       5.3
          64.0       1.0
          73.0       1.3
          75.0       1.1
          75.5       7.2
          76.0       1.1
          76.5       2.2
          86.0       1.3
          87.0       2.4
          88.0       2.7
          89.0      22.6
          90.0       2.4
         114.0       2.4
         115.0       4.9
         116.0      16.7
         117.0       1.6
         123.0       4.3
         124.0      12.5
         125.0       2.4
         126.0       4.1
         150.0       3.8
         151.0     100.0
         152.0      10.3
         153.0      32.1
         154.0       3.0
    

400 MHz in CDCl3


  • 1H NMR 399.65 MHz
    C8 H6 Cl N 0.05 ml : 0.5 ml CDCl3
    4-chloroindole
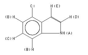
    ChemicalStructure
        Assign.     Shift(ppm)
    A 7.90 B 7.10 C 7.030 D 7.004 E 6.601

         Hz     ppm     Int.
    

       3157.71   7.902     69
       2844.60   7.118    304
       2843.63   7.116    430
       2842.65   7.113    241
       2840.94   7.109    392
       2839.84   7.106    528
       2836.79   7.099    328
       2835.69   7.096    641
       2834.84   7.094    626
       2833.25   7.090   1000
       2832.15   7.087    405
       2830.08   7.082    159
       2817.38   7.050    641
       2812.99   7.039     65
       2812.26   7.037     85
       2809.57   7.031    584
       2807.01   7.024     55
       2806.52   7.023     53
       2801.88   7.011    627
       2799.32   7.005    498
       2798.83   7.004    499
       2796.26   6.997    420
       2792.24   6.987     32
       2641.48   6.610    327
       2640.63   6.608    302
       2639.28   6.604    369
       2638.31   6.602    520
       2637.33   6.600    322
       2635.99   6.596    329
       2635.13   6.594    299
    

in CDCl3



liquid film