图谱信息 供应商 相关产品
网站主页CAS数据库列表 2524-03-0更多图谱二甲基硫代磷酰氯(2524-03-0)核磁图(1HNMR)

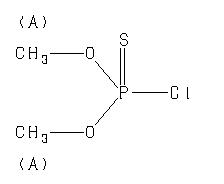
二甲基硫代磷酰氯

产品名称 二甲基硫代磷酰氯

CAS号2524-03-0

分子式C2H6ClO2PS

分子量160.56

展开


  • Mass

    MS-NW-4878          
    O,O'-dimethyl chlorothiophosphate
    C2H6ClO2PS          (Mass of molecular ion:    160)
    

       Source Temperature: 270 °C
       Sample Temperature: 180 °C
       Reservoir, 75 eV
    

          14.0       1.9
          15.0      28.0
          18.0       1.2
          28.0       2.9
          29.0       8.9
          30.0       1.5
          31.0       8.0
          32.0       2.3
          33.0       1.3
          36.0       2.1
          44.0       1.5
          45.0       9.4
          46.0       6.5
          47.0      54.9
          48.0       4.3
          49.0       4.0
          50.0      11.5
          52.0       3.8
          61.0       2.1
          62.0       5.3
          63.0      23.7
          64.0       7.0
          65.0       1.3
          66.0       2.5
          67.0       2.5
          76.0       1.5
          77.0       4.7
          79.0      19.7
          80.0       2.9
          81.0       1.1
          83.0       1.6
          93.0      13.3
          94.0       6.7
          95.0       1.9
          96.0       1.3
          97.0      99.9
          98.0       2.9
          99.0      33.0
         100.0       1.4
         110.0       1.2
         111.0       1.1
         113.0       7.4
         114.0       1.9
         115.0       4.2
         116.0       1.2
         125.0      48.6
         126.0       2.0
         127.0       2.7
         129.0      17.1
         130.0      92.4
         131.0       8.2
         132.0      36.0
         133.0       1.3
         134.0       1.7
         141.0       2.0
         142.0       1.0
         145.0       4.2
         146.0       2.1
         147.0       1.8
         157.0       5.0
         160.0     100.0
         161.0       3.7
         162.0      37.8
         163.0       1.3
         164.0       1.8
         176.0       2.3
         180.0       1.9
         182.0       1.3
         192.0       4.5
         194.0       2.1
         204.0       1.9
    

90 MHz in CDCl3


  • 1H NMR 89.56 MHz
    C2 H6 Cl O2 P S 0.04 ml : 0.5 ml CDCl3
    O,O'-dimethyl chlorothiophosphate
    ChemicalStructure
        Assign.     Shift(ppm)
    A 3.907 J(A,P-31)=16.0HZ

         Hz     ppm     Int.
    

        357.88   3.996   1000
        356.63   3.983     34
        355.56   3.971     23
        341.88   3.818    999
        340.63   3.804     38
    

in CDCl3



liquid film



更多供应商