图谱信息 供应商 相关产品
网站主页CAS数据库列表 2524-52-9更多图谱2-吡啶甲酸乙酯(2524-52-9)红外图谱(IR1)

2-吡啶甲酸乙酯

产品名称 2-吡啶甲酸乙酯

CAS号2524-52-9

分子式C8H9NO2

分子量151.16

展开


  • Mass

    MS-NW-6429          
    ethyl 2-pyridinecarboxylate
    C8H9NO2             (Mass of molecular ion:    151)
    

       Source Temperature: 260 °C
       Sample Temperature: 190 °C
       Reservoir, 75 eV
    

          26.0       2.1
          27.0       8.1
          28.0       2.2
          29.0      13.0
          39.0       1.9
          50.0       3.9
          51.0      15.3
          52.0      10.7
          53.0       1.1
          76.0       1.2
          77.0       1.4
          78.0      47.4
          79.0     100.0
          80.0       9.2
         106.0      15.7
         107.0      21.5
         108.0       1.5
         151.0       1.3
    

400 MHz in CDCl3


  • 1H NMR 399.65 MHz
    C8 H9 N O2 0.05 ml : 0.5 ml CDCl3
    ethyl 2-pyridinecarboxylate
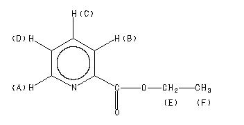
    ChemicalStructure
        Assign.     Shift(ppm)
    A 8.771 B 8.146 C 7.864 D 7.496 E 4.492 F 1.454

         Hz     ppm     Int.
    

       3509.28   8.781    131
       3508.30   8.779    143
       3507.45   8.777    144
       3506.59   8.775    133
       3504.52   8.769    135
       3503.66   8.767    146
       3502.81   8.765    142
       3501.83   8.763    129
       3260.99   8.160    143
       3260.01   8.158    205
       3258.91   8.155    136
       3253.17   8.141    162
       3252.08   8.138    229
       3251.10   8.135    154
       3151.49   7.886    129
       3149.78   7.882    127
       3143.80   7.867    227
       3142.09   7.863    219
       3135.99   7.847    125
       3134.28   7.843    122
       3002.56   7.513    141
       3001.34   7.510    140
       2997.80   7.502    141
       2996.58   7.499    142
       2994.87   7.494    133
       2993.65   7.491    127
       2990.11   7.482    127
       2988.89   7.479    122
       1806.15   4.520    211
       1799.07   4.502    575
       1791.87   4.484    572
       1784.79   4.466    214
        588.26   1.472    597
        585.69   1.466     31
        581.05   1.454   1000
        573.85   1.436    573
    

in CDCl3



liquid film