-
MS-NW-7770 7-methoxy-4-methylcoumarin C11H10O3 (Mass of molecular ion: 190)
Source Temperature: 160 °C Sample Temperature: 120 °C Direct, 75 eV
15.0 6.4 26.0 1.3 27.0 3.0 29.0 1.9 37.0 1.5 38.0 3.7 39.0 13.3 40.0 1.3 41.0 2.4 43.0 3.0 45.5 1.0 49.0 1.0 50.0 8.0 51.0 14.0 52.0 4.4 53.0 2.4 55.0 1.1 61.0 2.2 62.0 5.7 63.0 12.3 64.0 3.6 65.0 17.5 66.0 1.5 69.0 6.1 74.0 3.9 75.0 4.2 76.0 4.8 77.0 10.6 78.0 3.5 79.0 2.5 81.0 1.1 86.0 1.3 87.0 1.5 89.0 6.7 90.0 4.9 91.0 29.8 92.0 3.0 93.0 1.0 101.0 1.2 102.0 3.0 103.0 6.4 104.0 1.5 105.0 1.5 118.0 3.5 119.0 8.5 120.0 1.3 131.0 2.3 132.0 1.3 133.0 1.8 134.0 1.9 146.0 1.8 147.0 85.2 148.0 8.6 161.0 10.8 162.0 100.0 163.0 12.0 190.0 68.4 191.0 8.9 192.0 1.0
90 MHz in CDCl3
-
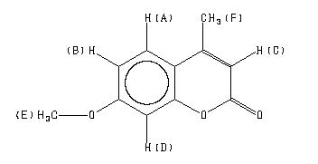
1H NMR 89.56 MHz C11 H10 O3 0.033 g : 0.5 ml CDCl3 7-methoxy-4-methylcoumarin 
Assign. Shift(ppm)
A 7.485 B 6.902 C 6.801 D 6.123 E 3.871 F 2.393
Hz ppm Int.675.88 7.547 74 674.69 7.534 54 667.81 7.457 77 666.75 7.445 97 665.31 7.429 39 619.63 6.919 83 617.13 6.891 126 612.19 6.836 28 609.19 6.803 312 607.88 6.788 84 606.81 6.776 29 549.06 6.131 130 547.81 6.117 127 346.75 3.872 1000 215.00 2.401 584 213.81 2.388 560
更多供应商





