图谱信息 供应商 相关产品
网站主页CAS数据库列表 256-96-2更多图谱亚氨基芪(256-96-2)质谱(MS)

亚氨基芪

产品名称 亚氨基芪

CAS号256-96-2

分子式C14H11N

分子量193.24

展开


  • Mass

    MS-NW-8234          
    5H-dibenz(b,f)azepine
    C14H11N             (Mass of molecular ion:    193)
    

       Source Temperature: 160 °C
       Sample Temperature: 110 °C
       Direct, 75 eV
    

          63.0       1.3
          81.5       1.0
          82.0       1.4
          82.5       1.8
          83.5       5.0
          89.0       1.6
          90.0       1.1
          95.5       5.1
          96.0       1.3
          96.5       6.3
          97.0       1.0
         139.0       1.8
         140.0       1.3
         163.0       1.9
         164.0       2.5
         165.0      11.5
         166.0       4.3
         167.0       5.4
         177.0       1.0
         178.0       1.0
         190.0       5.4
         191.0      12.0
         192.0      21.9
         193.0     100.0
         194.0      15.6
         195.0       1.4
    

400 MHz in DMSO-d6

90 MHz in DMSO-d6


  • 1H NMR 399.65 MHz
    C14 H11 N 0.049 g : 0.5 ml DMSO-d6
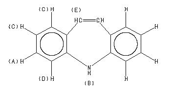
    5H-dibenz(b,f)azepine
    ChemicalStructure
        Assign.     Shift(ppm)
    A 6.959 B 6.93 C 6.732 D 6.685 E 6.621 F 6.069 90MHZ : HSP-04-955

         Hz     ppm     Int.
    

       2790.53   6.983    154
       2788.70   6.978    181
       2782.59   6.963    276
       2781.49   6.960    301
       2775.39   6.945    207
       2773.68   6.941    245
       2769.65   6.931    252
       2700.07   6.757     30
       2696.66   6.748    186
       2695.07   6.744    232
       2689.21   6.729    402
       2687.62   6.725    402
       2678.34   6.702    264
       2677.37   6.700    318
       2671.14   6.684    311
       2670.04   6.681    366
       2663.70   6.666    132
       2662.72   6.663    151
       2649.54   6.630    377
       2641.60   6.610    333
       2425.54   6.070   1000
    


  • 1H NMR 89.56 MHz
    C14 H11 N 0.042 g : 0.5 ml DMSO-d6
    5H-dibenz(b,f)azepine
    ChemicalStructure
        Assign.     Shift(ppm)
    A 6.94 B 6.90 C 6.73 D 6.69 E 6.063 400MHZ : HSP-42-304 CONFIRMED BY LAOCN PROGRAM.

         Hz     ppm     Int.
    

        632.24   7.060     98
        630.96   7.046     30
        630.62   7.042     30
        628.99   7.024    112
        627.97   7.012     44
        626.43   6.995    135
        624.72   6.976    161
        623.69   6.964    138
        622.41   6.950    144
        620.96   6.934    185
        618.74   6.909    331
        615.66   6.875    334
        611.56   6.829     61
        610.28   6.815     54
        606.95   6.778    110
        603.87   6.743    194
        602.50   6.728    753
        601.65   6.718    597
        599.51   6.694    338
        596.95   6.666    406
        596.35   6.659    454
        595.75   6.652    416
        595.07   6.645    432
        590.80   6.597     65
        588.23   6.569    238
        543.12   6.065   1000
        537.90   6.007     34
    

DMSO-d6



KBr disc



nujol mull