
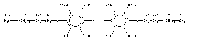
4,4'-二正辛氧基氧化偶氮苯
产品名称
4,4'-二正辛氧基氧化偶氮苯
CAS号25729-12-8
分子式C28H42N2O3
分子量454.64
InChIInChI=1S/C28H42N2O3/c1-3-5-7-9-11-13-23-32-27-19-15-25(16-20-27)29-30(31)26-17-21-28(22-18-26)33-24-14-12-10-8-6-4-2/h15-22H,3-14,23-24H2,1-2H3
InChIKeyLMDKWWQEAJSHLR-UHFFFAOYSA-N
Smiles[N+]([O-])(C1=CC=C(OCCCCCCCC)C=C1)=NC1=CC=C(OCCCCCCCC)C=C1
展开
收起
-
Assign. Shift(ppm)
A 8.26
B 8.22
C 6.95
D 6.93
E 4.01
F 1.81
G 1.62 to 1.14
J 0.90
Spectral Code: 1H NMR : 90 MHz in CDCl3
-
ppm Int. Assign.
161.48 424 1
159.86 416 2
141.56 199 3 *
137.92 299 4 *
127.81 623 5
123.71 658 6
114.22 688 7 #
114.05 671 8 #
68.50 247 9 *1
68.26 242 10 *1
31.84 645 11
29.38 662 12 #1
29.25 1000 13 #1
14
26.04 541 15
22.68 636 16
14.10 736 17
Spectral Code: 13C NMR : in CDCl3
-
Spectral Code: IR : KBr disc
4,4'-二正辛氧基氧化偶氮苯(25729-12-8)红外图谱(IR1) 相关产品图谱