图谱信息 供应商 相关产品
网站主页CAS数据库列表 25910-85-4更多图谱6-乙氧基-1-甲基-2-(3-硝基苯乙烯基)喹啉硫酸甲酯盐(25910-85-4)红外图谱(IR1)

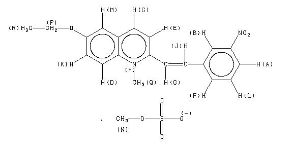
6-乙氧基-1-甲基-2-(3-硝基苯乙烯基)喹啉硫酸甲酯盐

产品名称 6-乙氧基-1-甲基-2-(3-硝基苯乙烯基)喹啉硫酸甲酯盐

CAS号25910-85-4

分子式C21H22N2O7S

分子量446.47

展开

400 MHz in DMSO-d6


  • 1H NMR 399.65 MHz
    C21 H22 N2 O7 S saturated in DMSO-d6
    pinakryptol yellow (methylsulfate)
    ChemicalStructure
        Assign.     Shift(ppm)
    A 8.975 B 8.764 C 8.525 D 8.498 E 8.401 F 8.304 G *1 8.176 J *1 8.128 K 7.83 L 7.82 M 7.80 N 4.602 P 4.270 Q 3.391 R 1.452

         Hz     ppm     Int.
    

       3591.00   8.986     73
       3582.15   8.964     82
       3504.64   8.770     68
       3502.81   8.765    104
       3501.13   8.761     70
       3412.63   8.540     76
       3403.02   8.516     91
       3400.42   8.509    111
       3391.42   8.486     95
       3361.51   8.412     58
       3353.73   8.392     62
       3323.36   8.316     52
       3321.84   8.312     51
       3315.73   8.297     54
       3315.12   8.296     54
       3313.60   8.292     56
       3280.49   8.209     38
       3264.31   8.168    130
       3252.11   8.138    135
       3236.08   8.098     39
       3131.71   7.837    107
       3128.51   7.829     84
       3123.93   7.817    120
       3122.10   7.813     54
       3118.90   7.805    130
       3117.37   7.801    151
       1839.60   4.604    526
       1717.07   4.297     47
       1710.21   4.280    140
       1703.19   4.262    137
       1696.17   4.245     44
       1378.78   3.450     30
       1377.72   3.448     31
       1376.95   3.446     32
       1375.12   3.441     34
       1368.71   3.425     45
       1367.49   3.422     47
       1361.39   3.407     59
       1355.29   3.392   1000
       1349.49   3.377     48
       1342.62   3.360     34
       1339.42   3.352     30
       1338.96   3.351     30
        587.31   1.470    148
        580.44   1.453    306
        573.43   1.435    140
    

KBr disc