图谱信息 供应商 相关产品
网站主页CAS数据库列表 25956-17-6更多图谱诱惑红(25956-17-6)红外图谱(IR2)

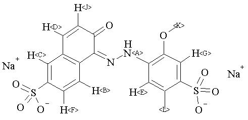
诱惑红

产品名称 诱惑红

CAS号25956-17-6

分子式C18H17N2NaO8S2

分子量476.45

展开

400 MHz in DMSO-d6


  • 1H NMR 399.65 MHz
    C18 H14 N2 Na2 O8 S2 0.029 g : 0.5 ml DMSO-d6
    FG and C Red No 40
    ChemicalStructure
        Assign.     Shift(ppm)
    A 16.5 B 8.497 C 8.011 D 7.986 E 7.852 F 7.847 G 7.585 J 6.826 K 3.979 L 2.623

         Hz     ppm     Int.
    

       6612.55  16.546    259
       3400.39   8.509    167
       3391.85   8.488    186
       3202.88   8.015    227
       3201.17   8.010    223
       3196.78   7.999    160
       3187.26   7.976    164
       3140.14   7.858    193
       3138.43   7.853    381
       3131.84   7.837    139
       3129.88   7.832    129
       3031.49   7.586    393
       2733.15   6.839    217
       2723.63   6.816    224
       1590.33   3.980   1000
       1048.34   2.624    827
    

in DMSO-d6



KBr disc



nujol mull