图谱信息 供应商 相关产品
网站主页CAS数据库列表 2610-11-9更多图谱C.I.直接红81(2610-11-9)核磁图(13CNMR)

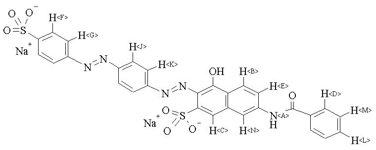
C.I.直接红81

产品名称 C.I.直接红81

CAS号2610-11-9

分子式C29H19N5Na2O8S2

分子量675.6

展开

400 MHz in DMSO-d6

400 MHz in DMSO-d6 at 50.C


  • 1H NMR 399.65 MHz
    C29 H19 N5 Na2 O8 S2 saturated in DMSO-d6
    C.I. Direct Red 81
    ChemicalStructure
        Assign.     Shift(ppm)
    A 10.8 B 8.263 C 8.218 D 8.06 E 8.07 to 8.01 F *1 8.01 G *1 7.98 J *2 7.90 K *2 7.86 L 7.638 M 7.569 N 7.536

         Hz     ppm     Int.
    

       4344.33  10.871     36
       4335.78  10.849    240
       4325.56  10.824     30
       3307.34   8.276    286
       3298.65   8.254    360
       3284.91   8.220    419
       3283.84   8.217    428
       3223.88   8.067    504
       3216.71   8.049    563
       3208.16   8.028    470
       3200.38   8.008   1000
       3192.60   7.989    792
       3183.59   7.966    311
       3161.62   7.911    381
       3153.08   7.890    862
       3141.94   7.862    820
       3133.54   7.841    407
       3061.22   7.660     96
       3054.20   7.643    276
       3046.88   7.624    239
       3031.92   7.587    393
       3024.29   7.568    533
       3016.97   7.550    268
       3011.93   7.537    690
    


  • 1H NMR 399.65 MHz
    C29 H19 N5 Na2 O8 S2 0.038 g : 0.5 ml DMSO-d6 at 50 C
    C.I. Direct Red 81
    ChemicalStructure
        Assign.     Shift(ppm)
    A 10.7 B 8.261 C 8.180 D 8.05 E 8.01 F *1 8.00 G *1 7.97 J *2 7.86 K *2 7.84 L 7.623 M 7.560 N 7.523

         Hz     ppm     Int.
    

       4281.31  10.713     98
       3306.12   8.273    270
       3302.92   8.265     38
       3301.85   8.262     36
       3297.42   8.251    325
       3269.96   8.183    357
       3268.59   8.179    360
       3221.74   8.062    431
       3214.26   8.043    474
       3208.01   8.028     58
       3207.55   8.026     58
       3201.14   8.010    345
       3193.36   7.991   1000
       3188.63   7.979    851
       3179.63   7.957    210
       3174.29   7.943     31
       3152.62   7.889     31
       3151.25   7.886     37
       3150.79   7.884     41
       3147.13   7.875    227
       3138.43   7.853    948
       3133.85   7.842    913
       3125.46   7.821    241
       3055.73   7.647     80
       3052.83   7.639     41
       3048.55   7.629    243
       3044.74   7.619     62
       3041.23   7.610    208
       3037.11   7.600     31
       3034.67   7.594     30
       3028.11   7.577    352
       3020.32   7.558    469
       3013.00   7.540    207
       3006.74   7.524    593
    

in DMSO-d6



KBr disc



nujol mull