图谱信息 供应商 相关产品
网站主页CAS数据库列表 2620-50-0更多图谱3,4-亚甲二氧基苄胺(2620-50-0)核磁图(1HNMR)

3,4-亚甲二氧基苄胺

产品名称 3,4-亚甲二氧基苄胺

CAS号2620-50-0

分子式C8H9NO2

分子量151.16

展开


  • Mass

    MS-NW-5670          
    piperonylamine
    C8H9NO2             (Mass of molecular ion:    151)
    

       Source Temperature: 270 °C
       Sample Temperature: 190 °C
       Reservoir, 75 eV
    

          18.0       2.8
          27.0       1.9
          28.0      13.0
          29.0       2.7
          30.0      21.3
          37.0       1.9
          38.0       3.7
          39.0      10.9
          40.0       2.2
          41.0       2.1
          42.0       1.5
          44.0       1.1
          45.5       1.2
          46.5       3.0
          50.0       5.0
          51.0      11.1
          52.0       2.9
          53.0       3.6
          54.0       3.1
          55.0       1.1
          61.0       2.0
          62.0       4.9
          63.0      10.8
          64.0       4.8
          65.0      30.0
          66.0       9.9
          67.0       3.2
          73.5       1.0
          74.0       1.3
          74.5       5.8
          75.0       2.0
          76.0       3.3
          77.0      19.7
          78.0       3.3
          79.0       3.4
          80.0       1.6
          90.0       1.6
          91.0       1.7
          92.0       3.9
          93.0      35.6
          94.0       4.1
          95.0      10.2
         104.0       1.5
         105.0       6.7
         106.0       1.2
         118.0       1.0
         120.0       3.6
         121.0      43.0
         122.0       9.0
         123.0       7.8
         134.0       2.5
         135.0      40.6
         136.0       4.3
         146.0       2.3
         147.0       1.6
         148.0       4.0
         149.0       2.9
         150.0      94.0
         151.0     100.0
         152.0       9.9
         165.0       2.0
         283.0       1.1
    

400 MHz in CDCl3

90 MHz in CDCl3


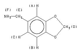
  • 1H NMR 399.65 MHz
    C8 H9 N O2 0.05 ml : 0.5 ml CDCl3
    piperonylamine
    ChemicalStructure
        Assign.     Shift(ppm)
    A 6.785 B 6.73 C 6.72 D 5.883 E 3.724 F 1.44 J(A,B)=0.7HZ, J(A,C)=1.5HZ, J(A,E)=J(C,E)=0.6HZ, J(B,C)=7.9HZ 90MHZ : HSP-03-789

         Hz     ppm     Int.
    

       2712.40   6.787    168
       2711.67   6.786    209
       2710.94   6.784    216
       2710.33   6.782    215
       2697.27   6.750     60
       2696.53   6.748     77
       2689.33   6.730    389
       2688.60   6.728    379
       2687.38   6.725    270
       2686.89   6.724    200
       2686.52   6.723    188
       2685.91   6.721    247
       2685.42   6.720    171
       2679.57   6.705     40
       2679.08   6.704     32
       2678.10   6.702     43
       2677.61   6.700     30
       2351.07   5.883   1000
       1488.77   3.726    422
       1488.16   3.724    656
       1487.67   3.723    590
        577.03   1.444     96
    


  • 1H NMR 89.56 MHz
    C8 H9 N O2 0.04 ml : 0.5 ml CDCl3
    piperonylamine
    ChemicalStructure
        Assign.     Shift(ppm)
    A 6.80 B 6.75 C 6.74 D 5.909 E 3.749 F 1.43

         Hz     ppm     Int.
    

        610.75   6.820     22
        610.25   6.814     50
        609.19   6.803    120
        608.75   6.798    110
        608.19   6.791    115
        607.69   6.786     58
        604.25   6.747    376
        603.25   6.736    293
        529.31   5.911   1000
        335.81   3.750    267
        127.69   1.426    237
    

in CDCl3



liquid film