400 MHz in DMSO-d6
90 MHz in DMSO-d6
-
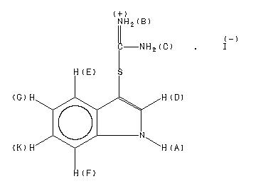
1H NMR 399.65 MHz C9 H10 I N3 S 0.040 g : 0.5 ml DMSO-d6 2-(3-indolyl)thiouronium iodide 
Assign. Shift(ppm)
A 12.1 B *1 8.89 C *1 8.55 D 8.002 E 7.577 F 7.509 G 7.283 J 7.223
Hz ppm Int.4852.08 12.141 392 3553.25 8.891 458 3416.24 8.549 461 3199.55 8.006 1000 3196.62 7.999 969 3032.50 7.588 585 3024.45 7.568 686 3005.21 7.520 482 2997.34 7.500 559 2919.67 7.306 235 2918.57 7.303 247 2912.53 7.288 462 2911.61 7.286 506 2904.65 7.268 384 2903.37 7.265 330 2893.11 7.240 410 2892.20 7.237 418 2885.24 7.220 555 2878.28 7.203 245 2877.36 7.200 224
-
1H NMR 89.56 MHz C9 H10 I N3 S 0.047 g : 0.5 ml DMSO-d6 2-(3-indolyl)thiouronium iodide 
Assign. Shift(ppm)
A 12.1 B *1 8.83 C *1 8.56 D 7.985 E 7.57 F 7.49 G *2 7.29 K *2 7.22 J(A,D)=3.0HZ
Hz ppm Int.1085.12 12.117 348 791.17 8.834 364 766.65 8.561 373 720.51 8.046 69 720.08 8.041 73 716.66 8.003 993 713.67 7.969 978 710.00 7.928 66 687.27 7.674 64 686.24 7.663 63 683.25 7.629 303 681.29 7.608 334 680.43 7.598 316 678.13 7.572 459 675.65 7.545 729 674.71 7.534 604 673.94 7.526 643 671.20 7.495 502 668.38 7.463 530 665.73 7.434 130 664.79 7.423 160 663.26 7.406 97 663.09 7.404 97 661.38 7.385 165 659.24 7.361 285 657.36 7.340 107 654.37 7.307 681 652.15 7.282 1000 648.65 7.243 918 644.97 7.202 728 643.18 7.182 435 639.76 7.144 99 638.05 7.125 153 636.94 7.112 100 636.34 7.106 106
更多供应商




