-
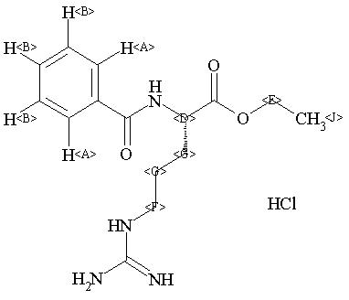
MS-NW-7400 N(alpha)-benzoyl-L-arginine ethyl ester monohydrochloride C15H22N4O3 HCl (Mass of molecular ion: 306)
Source Temperature: 170 °C Sample Temperature: 190 °C Direct, 75 eV
17.0 1.3 18.0 5.0 26.0 1.9 27.0 6.2 28.0 7.0 29.0 3.5 30.0 6.8 31.0 15.8 35.0 3.7 36.0 15.4 37.0 1.0 38.0 5.3 39.0 2.5 41.0 4.5 42.0 7.2 43.0 20.8 44.0 6.9 45.0 9.9 46.0 4.5 50.0 3.9 51.0 14.2 52.0 1.9 54.0 1.1 55.0 2.1 56.0 2.7 57.0 1.1 58.0 1.3 59.0 3.7 60.0 3.3 64.0 1.4 68.0 5.1 69.0 5.7 70.0 16.8 71.0 1.5 72.0 11.7 73.0 6.6 74.0 1.4 75.0 1.6 76.0 3.4 77.0 59.7 78.0 5.9 79.0 1.4 83.0 2.2 84.0 3.3 85.0 58.9 86.0 18.2 87.0 13.7 95.0 1.0 96.0 2.2 97.0 4.4 98.0 3.2 99.0 1.3 100.0 10.1 101.0 1.7 103.0 1.5 104.0 2.1 105.0 100.0 106.0 8.3 110.0 1.3 111.0 1.6 112.0 4.6 113.0 15.8 114.0 2.1 121.0 1.9 122.0 5.1 127.0 7.6 133.0 1.2 134.0 1.6 139.0 1.8 142.0 5.0 147.0 1.1 148.0 1.9 155.0 1.2 160.0 1.0 161.0 2.4 162.0 2.7 163.0 1.3 173.0 2.8 188.0 1.2 189.0 2.1 190.0 2.8 191.0 2.1 200.0 1.1 201.0 1.5 204.0 1.4 216.0 1.3 218.0 10.4 219.0 1.9 232.0 14.9 233.0 5.1 260.0 1.5 261.0 1.3 306.0 4.2 307.0 1.0
90 MHz in D2O
-
1H NMR 89.56 MHz C15 H22 N4 O3 0.046 g : 0.5 ml D2O N(alpha)-benzoyl-L-arginine ethyl ester monohydrochloride 
Assign. Shift(ppm)
A 7.83 B 7.68 to 7.46 D 4.60 E 4.275 F 3.26 G 2.09 to 1.67 J 1.308 THE SOLVENT SIGNAL REMOVED.
Hz ppm Int.704.69 7.869 223 699.13 7.807 289 696.94 7.782 382 684.13 7.639 295 682.31 7.619 576 680.50 7.599 258 674.94 7.537 230 418.50 4.673 94 418.25 4.671 94 417.94 4.667 95 412.13 4.602 125 410.56 4.585 112 404.69 4.519 112 404.19 4.514 116 393.81 4.398 126 386.63 4.317 392 379.44 4.237 413 372.38 4.158 137 298.50 3.333 148 291.69 3.257 309 285.56 3.189 146 175.88 1.964 143 175.44 1.959 152 174.63 1.950 142 168.19 1.878 170 167.88 1.875 171 167.56 1.871 173 162.38 1.814 168 161.81 1.807 161 161.44 1.803 160 160.88 1.797 157 159.81 1.785 150 158.94 1.775 146 158.63 1.772 145 158.38 1.769 145 155.50 1.737 153 155.13 1.733 158 124.31 1.389 465 117.25 1.310 1000 110.13 1.230 467
更多供应商






