400 MHz in CDCl3
-
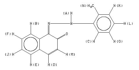
1H NMR 399.65 MHz C17 H14 N2 O 0.033 g : 0.5 ml CDCl3 1-(o-tolylazo)-2-naphthol 
Assign. Shift(ppm)
A 16.5 B 8.501 C 8.005 D 7.640 E 7.519 F 7.500 G 7.336 J 7.317 K 7.228 L 7.160 M 6.809 N 2.490 J(D,M)=9.3HZ
Hz ppm Int.6607.91 16.535 87 3401.61 8.512 135 3393.80 8.492 146 3203.37 8.016 133 3195.56 7.996 142 3058.11 7.652 194 3048.58 7.629 208 3009.77 7.532 131 3005.86 7.522 97 3004.39 7.518 93 3001.95 7.512 176 2998.54 7.503 142 2997.56 7.501 140 2990.48 7.483 98 2989.26 7.480 79 2939.94 7.357 104 2938.72 7.354 105 2932.37 7.338 197 2931.64 7.336 195 2925.05 7.320 163 2923.83 7.316 184 2915.77 7.296 70 2892.09 7.237 323 2884.77 7.219 151 2868.41 7.178 103 2867.43 7.175 105 2861.08 7.159 133 2860.11 7.157 132 2853.76 7.141 52 2852.54 7.138 50 2726.07 6.822 274 2716.80 6.798 263 995.36 2.491 1000
更多供应商



