图谱信息 供应商 相关产品
网站主页CAS数据库列表 2650-17-1更多图谱二甲苯青 FF(2650-17-1)红外图谱(IR2)

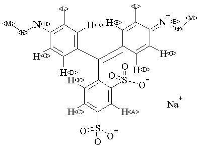
二甲苯青 FF

产品名称 二甲苯青 FF

CAS号2650-17-1

分子式C25H28N2O6S2.Na

分子量539.62

展开

400 MHz in DMSO-d6


  • 1H NMR 399.65 MHz
    C25 H27 N2 Na O6 S2 saturated in DMSO-d6
    Xylene Cyanole FF
    ChemicalStructure
        Assign.     Shift(ppm)
    A 8.232 B 7.89 C 7.649 D 7.215 E 7.060 F 6.928 G 6.873 J *1 3.45 K *1 3.43 L 2.083 M 1.209

         Hz     ppm     Int.
    

       3290.89   8.235    244
       3289.18   8.231    254
       3151.49   7.886    125
       3062.26   7.663    122
       3060.55   7.659    120
       3054.44   7.643    135
       3052.73   7.639    146
       2889.53   7.231    113
       2887.45   7.225    115
       2880.49   7.208    132
       2878.42   7.203    142
       2822.27   7.062    237
       2820.92   7.059    234
       2772.95   6.939    185
       2765.14   6.919    189
       2751.46   6.885    261
       2742.19   6.862    244
       1386.11   3.469    154
       1383.67   3.463     94
       1379.64   3.453    234
        832.64   2.084   1000
        490.36   1.227    438
        483.28   1.210    947
        476.07   1.192    430
    

KBr disc



nujol mull