图谱信息 供应商 相关产品
网站主页CAS数据库列表 2650-44-4更多图谱1-萘膦酸(2650-44-4)红外图谱(IR1)

1-萘膦酸

产品名称 1-萘膦酸

CAS号2650-44-4

分子式C10H10NaO5P

分子量264.15

展开



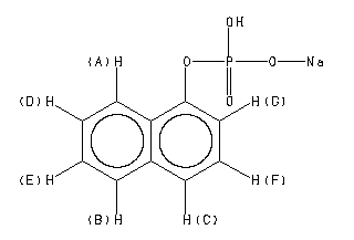
  •     Assign.     Shift(ppm)
    A 8.310 B 7.954 C 7.740 D *1 7.64 E *1 7.61 F 7.532 G 7.488
    Spectral Code: 1H NMR : 400 MHz in D2O


  • Spectral Code: IR : KBr disc