图谱信息 供应商 相关产品
网站主页CAS数据库列表 2650-64-8更多图谱N-苄氧羰基-L-谷氨酰胺(2650-64-8)质谱(MS)

N-苄氧羰基-L-谷氨酰胺

产品名称 N-苄氧羰基-L-谷氨酰胺

CAS号2650-64-8

分子式C13H16N2O5

分子量280.28

展开


  • Mass

    MS-NW-2499          
    N(alpha)-benzyloxycarbonyl-L-glutamime
    C13H16N2O5          (Mass of molecular ion:    280)
    

       Source Temperature: 230 °C
       Sample Temperature: 200 °C
       Direct, 75 eV
    

          15.0       1.6
          16.0       2.1
          17.0       4.5
          18.0      22.6
          26.0       4.1
          27.0      12.8
          28.0      26.8
          29.0       5.6
          30.0       9.1
          31.0       2.5
          32.0       1.4
          37.0       2.1
          38.0       3.0
          39.0      13.9
          40.0       2.3
          41.0      12.6
          42.0       7.8
          43.0       7.5
          44.0      42.1
          45.0       4.0
          50.0       7.5
          51.0      16.6
          52.0       6.7
          53.0       4.9
          54.0       7.1
          55.0       9.4
          56.0      28.5
          57.0      14.2
          59.0      31.7
          60.0       1.1
          61.0       1.1
          62.0       1.9
          63.0       5.1
          64.0       1.7
          65.0      11.7
          66.0       1.3
          67.0       1.2
          69.0       3.4
          71.0       6.9
          72.0       6.4
          73.0       8.1
          74.0       2.6
          75.0       1.2
          76.0       1.3
          77.0      38.8
          78.0      10.4
          79.0      79.7
          80.0       8.2
          81.0       1.1
          82.0       2.9
          83.0      29.3
          84.0      30.8
          85.0       3.5
          86.0       1.1
          89.0       6.5
          90.0       8.9
          91.0      58.1
          92.0       6.3
          99.0       2.0
         100.0      12.1
         101.0       3.0
         105.0       3.8
         106.0       1.6
         107.0      57.5
         108.0     100.0
         109.0       7.4
         110.0       1.4
         111.0       3.7
         113.0       3.2
         126.0       2.0
         127.0       2.8
         128.0       3.8
         129.0       1.0
         130.0       2.1
         154.0       1.3
         155.0       2.8
         172.0       1.1
         173.0       1.2
         262.0       1.2
    

400 MHz in DMSO-d6


  • 1H NMR 399.65 MHz
    C13 H16 N2 O5 0.039 g : 0.5 ml DMSO-d6
    N(alpha)-benzyloxycarbonyl-L-glutamime
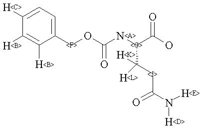
    ChemicalStructure
        Assign.     Shift(ppm)
    A 7.59 B 7.36 C 7.32 D *1 7.31 E *1 6.79 F 5.03 G 3.954 J 2.158 K *2 1.969 L *2 1.743

         Hz     ppm     Int.
    

       3037.73   7.601    125
       3029.83   7.582    129
       2955.46   7.396     31
       2946.06   7.372    319
       2942.43   7.363   1000
       2937.30   7.350    142
       2932.39   7.338    120
       2929.82   7.331    116
       2928.33   7.328    120
       2923.63   7.316    185
       2922.34   7.313    180
       2919.57   7.306    139
       2714.86   6.794     97
       2012.69   5.037    404
       2011.62   5.034    445
       1591.52   3.983     43
       1586.82   3.971     52
       1582.33   3.960     69
       1578.70   3.951     64
       1577.84   3.949     62
       1574.42   3.940     49
       1569.51   3.928     39
        870.55   2.179    103
        863.07   2.160    219
        855.38   2.141    136
        797.04   1.995     36
        791.70   1.981     53
        786.14   1.968     38
        783.37   1.961     60
        778.45   1.948     48
        707.94   1.772     38
        700.03   1.752     49
        695.11   1.740     44
        692.55   1.733     41
        685.93   1.717     37
    

in DMSO-d6



KBr disc



nujol mull



4880 A,200 M,powder