-
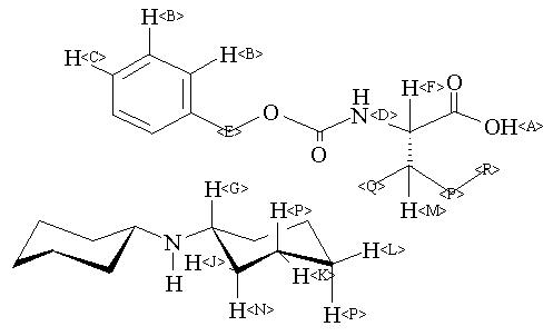
MS-NW-9287 N-benzyloxycarbonyl-L-isoleucine dicyclohexylamine salt C14H19NO4 C12H23N (Mass of molecular ion: 265)
Source Temperature: 200 °C Sample Temperature: 160 °C Direct, 75 eV
18.0 5.6 27.0 3.8 28.0 7.0 29.0 15.2 30.0 3.2 39.0 6.3 41.0 19.5 42.0 1.6 43.0 2.6 44.0 4.7 50.0 1.8 51.0 4.8 52.0 1.5 53.0 2.5 54.0 1.6 55.0 7.4 56.0 22.2 57.0 19.2 58.0 1.1 63.0 1.7 65.0 8.0 67.0 1.3 68.0 1.0 69.0 2.8 70.0 2.3 73.0 3.1 74.0 6.3 77.0 10.8 78.0 2.6 79.0 23.1 80.0 2.6 81.0 1.9 82.0 3.0 83.0 4.4 86.0 1.2 89.0 3.1 90.0 3.4 91.0 100.0 92.0 10.6 96.0 1.0 98.0 2.7 100.0 3.6 101.0 38.0 102.0 1.6 105.0 1.2 107.0 19.9 108.0 57.3 109.0 4.5 110.0 1.6 112.0 1.2 130.0 4.6 138.0 45.6 139.0 5.0 148.0 3.7 152.0 2.2 176.0 10.7 177.0 1.5 181.0 5.7 220.0 2.4 265.0 3.3
400 MHz in CDCl3
-
1H NMR 399.65 MHz C14 H19 N O4 0.045 g : 0.5 ml CDCl3 N-benzyloxycarbonyl-L-isoleucine dicyclohexylamine salt 
Assign. Shift(ppm)
A 9.5 B 7.36 C 7.32 D 5.67 E 5.087 F 4.015 G 2.927 J 1.97 K 1.76 L 1.62 M 1.51 N 1.42 P 1.22 to 1.13 Q 0.954 R 0.908
Hz ppm Int.2942.35 7.363 1000 2935.94 7.347 657 2928.01 7.327 245 2925.87 7.322 215 2923.58 7.316 236 2270.36 5.681 175 2262.57 5.662 178 2033.08 5.088 844 1610.72 4.031 165 1606.90 4.021 184 1602.94 4.011 180 1598.97 4.001 172 1181.64 2.957 136 1177.98 2.948 114 1173.25 2.936 175 1170.04 2.928 258 1166.38 2.919 169 1162.26 2.909 114 1160.74 2.905 103 1158.29 2.899 138 791.93 1.982 415 780.49 1.953 482 766.45 1.918 91 705.87 1.767 353 705.26 1.765 352 693.66 1.736 430 652.62 1.633 251 647.28 1.620 155 642.24 1.608 208 641.78 1.606 208 612.64 1.533 88 609.44 1.525 97 605.01 1.514 115 603.64 1.511 121 599.52 1.501 108 596.01 1.492 116 591.89 1.482 114 587.92 1.472 109 584.11 1.462 158 579.68 1.451 146 579.38 1.450 146 578.92 1.449 146 571.59 1.431 326 568.39 1.423 267 568.08 1.422 267 559.54 1.401 328 551.61 1.381 130 551.15 1.380 131 547.64 1.371 136 495.76 1.241 148 488.89 1.224 269 485.84 1.216 320 482.03 1.207 354 479.58 1.200 291 472.26 1.182 449 469.97 1.176 397 466.00 1.167 306 460.21 1.152 472 451.20 1.129 241 438.69 1.098 132 384.83 0.963 702 377.96 0.946 702 370.33 0.927 459 362.85 0.908 785 355.53 0.890 386
更多供应商





