图谱信息 供应商 相关产品
网站主页CAS数据库列表 26828-48-8更多图谱2-烯丙基-2-甲基-1,3-环戊烷二酮(26828-48-8)核磁图(1HNMR)

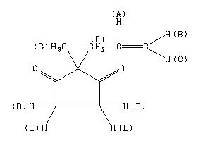
2-烯丙基-2-甲基-1,3-环戊烷二酮

产品名称 2-烯丙基-2-甲基-1,3-环戊烷二酮

CAS号26828-48-8

分子式C9H12O2

分子量152.19


  • Mass

    MS-NW-7465          
    2-allyl-2-methyl-1,3-cyclopentanedione
    C9H12O2             (Mass of molecular ion:    152)
    

       Source Temperature: 260 °C
       Sample Temperature: 160 °C
       Reservoir, 75 eV
    

          14.0       1.0
          15.0       4.1
          18.0       3.7
          26.0      11.6
          27.0      54.8
          28.0      65.4
          29.0       9.8
          31.0       1.4
          32.0       1.4
          37.0       2.1
          38.0       6.5
          39.0      64.2
          40.0      19.9
          41.0     100.0
          42.0      10.8
          43.0      22.1
          44.0       1.8
          50.0       4.0
          51.0       7.2
          52.0       4.4
          53.0      32.0
          54.0       7.5
          55.0      43.5
          56.0      61.3
          57.0       7.3
          61.0       1.2
          62.0       1.8
          63.0       3.3
          65.0       9.5
          66.0       7.1
          67.0      79.5
          68.0      69.7
          69.0      33.9
          70.0       3.1
          74.0       1.5
          77.0       6.2
          78.0       1.9
          79.0      13.1
          80.0       4.2
          81.0      25.3
          82.0       8.2
          83.0       9.5
          84.0       4.1
          85.0       2.7
          91.0       9.0
          92.0       7.2
          93.0      14.1
          94.0       3.4
          95.0      59.4
          96.0      20.9
          97.0      65.2
          98.0       7.5
         105.0       2.2
         106.0       1.5
         107.0       3.6
         108.0       4.5
         109.0      91.4
         110.0      40.9
         111.0       7.9
         112.0       2.3
         115.0       1.0
         119.0       1.9
         123.0      10.1
         124.0      42.6
         125.0      12.3
         126.0       1.1
         134.0       1.0
         137.0      14.1
         138.0       1.4
         151.0       1.4
         152.0      36.8
         153.0       4.0
         192.0       1.2
    

400 MHz in CDCl3


  • 1H NMR 399.65 MHz
    C9 H12 O2 0.05 ml : 0.5 ml CDCl3
    2-allyl-2-methyl-1,3-cyclopentanedione
    ChemicalStructure
        Assign.     Shift(ppm)
    A 5.597 B 5.08 C 5.07 D *1 2.774 E *1 2.717 F 2.349 G 1.116

         Hz     ppm     Int.
    

       2258.79   5.652     30
       2251.34   5.634     66
       2248.29   5.626     34
       2243.90   5.615     40
       2242.19   5.611     39
       2240.72   5.607     68
       2234.86   5.593     65
       2233.15   5.588     39
       2231.93   5.585     49
       2227.54   5.574     32
       2224.24   5.566     82
       2216.80   5.547     40
       2034.55   5.091    210
       2033.45   5.089    227
       2032.35   5.086    112
       2025.51   5.069     84
       2024.66   5.067     92
       2023.68   5.064    110
       2018.19   5.050     48
       2016.85   5.047    101
       2015.38   5.043     88
       2013.79   5.039     45
       1129.52   2.827     50
       1121.83   2.808     78
       1119.26   2.801    145
       1106.81   2.770    247
       1103.64   2.762    215
       1100.46   2.754    223
       1094.12   2.738    222
       1091.06   2.731    221
       1088.01   2.723    260
       1075.56   2.692    145
       1072.75   2.685     78
       1065.19   2.666     50
        943.60   2.362    153
        942.63   2.359    242
        941.53   2.356    175
        936.04   2.343    155
        935.18   2.340    224
        934.08   2.338    182
        446.29   1.117   1000
    

in CDCl3



liquid film