图谱信息 供应商 相关产品
网站主页CAS数据库列表 2687-43-6更多图谱苄氧基胺盐酸盐(2687-43-6)质谱(MS)

苄氧基胺盐酸盐

产品名称 苄氧基胺盐酸盐

CAS号2687-43-6

分子式C7H10ClNO

分子量159.61

展开


  • Mass

    MS-NW-2091          
    o-benzylhydroxylamine hydrochloride
    C7H9NO HCl          (Mass of molecular ion:    123)
    

       Source Temperature: 210 °C
       Sample Temperature: 150 °C
       Direct, 75 eV
    

          18.0       2.1
          35.0       1.6
          36.0      15.8
          38.0       5.2
          39.0       4.4
          41.0       1.0
          50.0       2.6
          51.0       5.6
          52.0       1.3
          63.0       1.8
          65.0      12.3
          77.0       7.6
          78.0       1.4
          79.0       1.4
          89.0       1.4
          91.0     100.0
          92.0       7.6
         105.0       3.3
         106.0       2.5
         107.0       1.0
         108.0       1.3
    

400 MHz in DMSO-d6


  • 1H NMR 399.65 MHz
    C7 H9 N O 0.038 g : 0.5 ml DMSO-d6
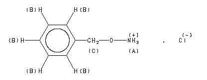
    O-benzylhydroxylamine hydrochloride
    ChemicalStructure
        Assign.     Shift(ppm)
    A 11.3 B 7.43 C 5.099

         Hz     ppm     Int.
    

       4530.62  11.337     34
       2973.34   7.440     60
       2970.59   7.433    261
       2968.58   7.428   1000
       2966.38   7.423    258
       2964.18   7.417     58
       2961.80   7.411     29
       2960.89   7.409     29
       2037.91   5.100    662
    

in DMSO-d6

in D2O





KBr disc



nujol mull



4880 A,200 M,powder