图谱信息 供应商 相关产品
网站主页CAS数据库列表 2700-30-3更多图谱N,N-二异丙基甲酰胺(2700-30-3)质谱(MS)

N,N-二异丙基甲酰胺

产品名称 N,N-二异丙基甲酰胺

CAS号2700-30-3

分子式C7H15NO

分子量129.2

展开


  • Mass

    MS-NW-8580          
    N,N-diisopropylformamide
    C7H15NO             (Mass of molecular ion:    129)
    

       Source Temperature: 250 °C
       Sample Temperature: 130 °C
       Reservoir, 75 eV
    

          15.0       2.0
          18.0       4.3
          27.0       7.9
          28.0       4.7
          29.0       1.5
          30.0       1.4
          39.0       4.7
          41.0      13.8
          42.0       9.9
          43.0      15.6
          44.0      47.0
          45.0       1.3
          46.0       2.1
          58.0      13.8
          59.0       1.1
          70.0       1.9
          72.0     100.0
          73.0       3.8
          84.0       1.1
          86.0      25.0
          87.0       1.6
          98.0       1.4
         100.0       1.5
         114.0      18.1
         115.0       1.2
         129.0      21.0
         130.0       5.4
    

90 MHz in CDCl3


  • 1H NMR 89.56 MHz
    C7 H15 N O 0.05 ml : 0.5 ml CDCl3
    N,N-diisopropylformamide
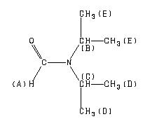
    ChemicalStructure
        Assign.     Shift(ppm)
    A 8.198 B 4.165 C 3.627 D 1.296 E 1.268 ASSIGNED BY C-H AND H-H COSY

         Hz     ppm     Int.
    

        734.25   8.199    143
        387.19   4.324     22
        380.25   4.246     53
        373.44   4.170     71
        366.56   4.093     56
        359.75   4.017     26
        331.88   3.706     44
        325.00   3.629     61
        318.13   3.553     49
        311.44   3.478     22
        119.38   1.333   1000
        116.88   1.306    878
        112.50   1.257    906
        110.00   1.229    797
        104.06   1.162     25
        103.69   1.158     24
    

in CDCl3



liquid film