图谱信息 供应商 相关产品
网站主页CAS数据库列表 27019-47-2更多图谱beta-丙氨酸苄酯对甲苯磺酸盐(27019-47-2)红外图谱(IR2)

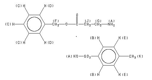
beta-丙氨酸苄酯对甲苯磺酸盐

产品名称 beta-丙氨酸苄酯对甲苯磺酸盐

CAS号27019-47-2

分子式C17H21NO5S

分子量351.42

展开


  • Mass

    MS-IW-9559          
    beta-alanine benzyl ester p-toluenesulfonate
    C10H13NO2 C7H8O3S   (Mass of molecular ion:    351)
    

       Source Temperature: 180 °C
       Sample Temperature: 180 °C
       Direct, 75 eV
    

          17.0       1.1
          18.0       5.5
          26.0       1.1
          27.0       3.2
          28.0       6.3
          29.0       1.5
          30.0      50.9
          38.0       1.4
          39.0       9.7
          40.0       1.1
          41.0       3.3
          42.0       4.3
          43.0      11.0
          44.0       1.9
          45.0       7.8
          46.0       3.9
          50.0       3.2
          51.0       6.8
          52.0       2.2
          53.0       1.5
          55.0       1.1
          62.0       2.0
          63.0       6.2
          64.0       3.6
          65.0      21.7
          66.0       1.3
          70.0      28.6
          71.0       1.5
          72.0       1.0
          77.0       9.9
          78.0       2.5
          79.0       9.2
          80.0       1.7
          88.0      68.2
          89.0       9.9
          90.0       7.0
          91.0     100.0
          92.0      11.1
         105.0       2.1
         106.0       1.7
         107.0      21.0
         108.0      12.0
         109.0       1.0
         155.0       1.7
         172.0      20.9
         173.0       1.8
         174.0       1.1
    

400 MHz in CDCl3


  • 1H NMR 399.65 MHz
    C10 H13 N O2 0.041 g : 0.5 ml CDCl3
    beta-alanine benzyl ester p-toluenesulfonate
    ChemicalStructure
        Assign.     Shift(ppm)
    A 7.79 B 7.734 C 7.29 D 7.23 E 7.060 F 4.969 G 3.119 J 2.655 K 2.275

         Hz     ppm     Int.
    

       3114.75   7.794    176
       3087.16   7.725    400
       2922.00   7.312     61
       2920.53   7.308     69
       2918.58   7.303    285
       2917.48   7.301    243
       2916.50   7.298    216
       2914.18   7.292    497
       2911.87   7.287    663
       2909.67   7.281     96
       2908.45   7.278     76
       2907.84   7.276     74
       2896.48   7.248     38
       2891.97   7.237    242
       2888.31   7.228    223
       2884.64   7.218    160
       2882.32   7.213    128
       2825.44   7.070    294
       2817.63   7.051    276
       1986.08   4.970    825
       1253.54   3.137    119
       1246.70   3.120    252
       1239.87   3.103    132
       1068.12   2.673    184
       1061.40   2.656    368
       1057.50   2.647     40
       1054.44   2.639    155
        909.18   2.275   1000
    

in CDCl3



KBr disk



Nujol