图谱信息 供应商 相关产品
网站主页CAS数据库列表 27089-56-1更多图谱2-硫代-6-氮杂尿苷(27089-56-1)质谱(MS)

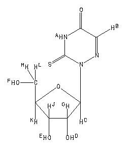
2-硫代-6-氮杂尿苷

产品名称 2-硫代-6-氮杂尿苷

CAS号27089-56-1

分子式C8H11N3O5S

分子量261.26


  • Mass

    MS-IW-0783          
    6-aza-2-thiouridine
    C8H11N3O5S          (Mass of molecular ion:    261)
    

       Source Temperature: 140 °C
       Sample Temperature: 130 °C
       Direct, 75 eV
    

          15.0       2.6
          17.0       1.1
          18.0       6.2
          19.0       4.2
          27.0       4.1
          28.0      10.5
          29.0       8.2
          30.0       2.3
          31.0      10.9
          39.0       1.4
          40.0       1.1
          41.0       6.7
          42.0       6.7
          43.0      27.5
          44.0       4.2
          45.0      12.6
          46.0       1.8
          47.0       1.3
          54.0       1.3
          55.0       7.5
          56.0       3.4
          57.0      26.3
          58.0       4.8
          59.0       4.5
          60.0      12.2
          61.0       9.8
          68.0       2.8
          69.0      11.6
          70.0       2.9
          71.0      12.4
          72.0       2.2
          73.0      23.8
          74.0       5.8
          75.0       3.8
          83.0       3.7
          84.0       3.6
          85.0      28.5
          86.0       6.7
          87.0       2.4
          88.0       1.2
          96.0       1.1
          97.0       4.2
          98.0       1.6
          99.0       1.1
         100.0       1.3
         101.0       3.2
         102.0       1.5
         103.0       4.3
         104.0       1.0
         105.0       2.5
         109.0       1.6
         111.0       1.1
         113.0       2.8
         114.0      12.3
         115.0       3.0
         116.0       1.6
         127.0       1.3
         129.0      15.3
         130.0      43.7
         131.0       7.3
         132.0     100.0
         133.0      11.1
         134.0       1.8
         141.0       2.2
         142.0       2.6
         143.0       1.1
         146.0       2.0
         154.0       1.4
         157.0       1.2
         159.0       1.0
         160.0       5.7
         161.0       1.0
         169.0      77.6
         170.0       7.3
         171.0       7.5
         172.0       4.5
         173.0      21.3
         174.0       1.7
         175.0       1.0
         189.0       5.3
         190.0       1.5
         200.0       1.0
         216.0       1.4
         230.0       1.1
         243.0       3.8
         244.0       1.4
         262.0       1.1
    

400 MHz in DMSO-d6


  • 1H NMR 399.65 MHz
    C8 H11 N3 O5 S 0.038 g : 0.5 ml DMSO-d6
    6-aza-2-thiouridine
    ChemicalStructure
        Assign.     Shift(ppm)
    A 13.37 B 7.860 C 6.799 C 6.799 D 5.33 E 5.06 F 4.66 G 4.19 J 4.03 K 3.823 L 3.554 M 3.410 assigned by H-H COSY and addition of D2O. J(A,B)=0.6 Hz J(C,G)=2.8 Hz J(D,G)=4.0 Hz J(E,J)=4.0 Hz J(J,K)=4.2 Hz J(L,M)=-11.7 Hz J(L,K)=2.9 Hz J(M,K)=5.3 Hz J(G,J)=4.2 Hz

         Hz     ppm     Int.
    

       5341.68  13.366    171
       3141.85   7.862   1000
       3141.31   7.861    966
       2718.92   6.804    403
       2716.18   6.797    403
       2133.34   5.339    118
       2129.49   5.329    121
       2024.72   5.067     96
       2024.17   5.065     96
       2023.44   5.064     95
       2022.89   5.062     95
       2021.06   5.058     98
       2020.69   5.057     98
       2020.33   5.056     98
       1861.34   4.658     90
       1672.13   4.184    153
       1610.77   4.031    120
       1610.22   4.030    120
       1607.84   4.024    124
       1535.85   3.843     88
       1532.00   3.834    122
       1529.99   3.829    182
       1525.96   3.819    182
       1523.95   3.814    115
       1519.92   3.804     87
       1428.88   3.576     76
       1428.52   3.575     76
       1427.42   3.572     75
       1425.95   3.568     76
       1416.98   3.546    114
       1415.14   3.541    108
       1370.82   3.431     88
       1368.80   3.425     84
       1365.69   3.418     94
       1361.84   3.408     78
       1359.83   3.403     81
       1359.46   3.402     81
       1356.71   3.395     72
       1356.16   3.394     71
       1354.88   3.391     73
       1354.52   3.390     73
    

in DMSO-d6



KBr disc



nujol mull