parameter in CDCl3
-
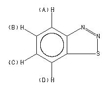
1H NMR 300 MHz C6 H4 N2 S in CCl4 1,2,3-benzothiadiazole 
Parameter ppm Hz
D(A) 8.564 D(B) 7.567 D(C) 7.612 D(D) 8.045 J(A,B) 8.44 J(A,C) 1.19 J(A,D) 0.73 J(B,C) 7.25 J(B,D) 1.03 J(C,D) 8.08 POESCHE,W.H. J.CHEM.SOC.B 1966, 568
Hz ppm Int.2581.36 8.605 16 2574.39 8.581 480 2573.72 8.579 535 2572.98 8.577 502 2571.80 8.573 424 2566.17 8.554 706 2564.80 8.549 533 2564.12 8.547 507 2556.44 8.521 17 2426.38 8.088 13 2418.51 8.062 464 2417.84 8.059 500 2416.67 8.056 670 2411.17 8.037 457 2409.95 8.033 599 2409.47 8.032 635 2408.76 8.029 538 2401.61 8.005 19 2292.66 7.642 235 2291.18 7.637 293 2285.40 7.618 718 2283.90 7.613 640 2278.00 7.593 869 2277.52 7.592 855 2275.84 7.586 1000 2270.15 7.567 317 2269.34 7.564 598 2268.06 7.560 632 2262.09 7.540 267 2260.79 7.536 220
更多供应商


