-
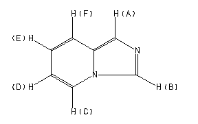
Parameter ppm Hz
D(A) 7.27 D(B) 7.97 D(C) 7.88 D(D) 7.41 D(E) 6.58 D(F) 7.34 J(A,B) 0.0 J(A,C) 0.5 J(A,D) 0.0 J(A,E) 0.0 J(A,F) 0.0 J(B,C) 0.0 J(B,D) 0.0 J(B,E) 0.0 J(B,F) 1.0 J(C,D) 7.13 J(C,E) 0.88 J(C,F) 1.11 J(D,E) 6.38 J(D,F) 1.05 J(E,F) 9.21 BLACK,P.J. ET AL. AUST.J.CHEM. 17, 1128 (1964)Spectral Code: 1H NMR : parameter in CCl4
更多供应商

