图谱信息 供应商 相关产品
网站主页CAS数据库列表 27402-68-2更多图谱5-硝基荧光素(27402-68-2)红外图谱(IR1)

5-硝基荧光素

产品名称 5-硝基荧光素

CAS号27402-68-2

分子式C20H11NO7

分子量377.3

展开


  • Mass

    MS-NW-9042          
    6-nitrofluorescein
    C20H11NO7           (Mass of molecular ion:    377)
    

       Source Temperature: 230 °C
       Sample Temperature: 300 °C
       Direct, 75 eV
    

          17.0       6.8
          18.0      36.0
          27.0       1.0
          28.0       6.7
          30.0       1.6
          39.0       1.4
          41.0       1.3
          43.0       1.6
          44.0      12.3
          51.0       1.5
          55.0       1.6
          57.0       1.4
          62.0       1.0
          63.0       3.1
          69.0       3.1
          74.0       2.3
          75.0       9.6
          76.0       1.9
          77.0       1.1
          81.0       1.0
          82.0       1.1
          86.0       1.1
          87.0       3.1
          88.0       7.9
          89.0       1.1
          93.0       2.2
          94.0       2.7
          95.0       1.5
          98.0       1.1
          99.0       1.5
         100.0       8.2
         101.0       9.9
         102.0       1.7
         103.0       3.6
         105.0       1.6
         106.0       3.0
         109.0       1.5
         111.0       1.0
         114.0       2.5
         115.0       2.6
         123.0       1.0
         126.0       1.0
         129.0       6.0
         137.0       3.8
         138.0       1.0
         139.0       1.2
         143.0       6.5
         144.0       1.8
         149.0       1.1
         150.0       1.9
         151.0       2.1
         152.0       1.4
         155.0       1.1
         163.0       2.1
         171.0       1.0
         174.0       1.6
         175.0       1.9
         176.0       3.0
         183.0       1.0
         187.0       2.8
         188.0       2.0
         189.0       4.7
         190.0       1.1
         199.0       2.2
         200.0      10.1
         201.0       7.7
         202.0      12.4
         203.0       2.9
         204.0       1.0
         205.0       1.0
         211.0       1.3
         213.0       4.2
         214.0       1.3
         217.0       1.3
         218.0       1.1
         229.0       8.0
         230.0       3.5
         231.0       1.9
         242.0       1.7
         245.0       1.7
         246.0       1.1
         257.0       3.3
         258.0      12.5
         259.0       5.7
         260.0       1.2
         269.0       1.9
         270.0      10.4
         271.0       2.4
         272.0       1.1
         273.0       1.1
         274.0       5.7
         275.0       2.1
         285.0       5.3
         286.0     100.0
         287.0      46.5
         288.0       9.0
         289.0       1.2
         300.0       1.2
         301.0       1.1
         302.0       5.8
         303.0       5.9
         304.0       2.1
         305.0       3.9
         316.0      79.1
         317.0      17.6
         318.0       2.8
         331.0       1.3
         332.0      34.1
         333.0      71.1
         334.0      15.1
         335.0       2.2
         377.0       1.6
    

400 MHz in DMSO-d6


  • 1H NMR 399.65 MHz
    C20 H11 N O7 0.021 g : 0.5 ml DMSO-d6
    6-nitrofluorescein
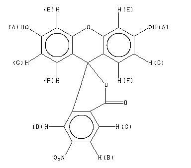
    ChemicalStructure
        Assign.     Shift(ppm)
    A 10.23 B 8.502 C 8.271 D 8.126 E 6.719 F 6.680 G 6.567 J(B,C)=8.4HZ J(B,D)=2.0HZ J(C,D)=0.5HZ J(E,G)=2.4HZ J(F,G)=8.7HZ

         Hz     ppm     Int.
    

       4093.32  10.243     37
       4087.22  10.228   1000
       3403.47   8.517    261
       3401.49   8.512    251
       3395.08   8.496    313
       3393.10   8.491    325
       3309.78   8.282    381
       3309.33   8.281    346
       3301.39   8.261    332
       3300.78   8.260    294
       3248.90   8.130    361
       3248.29   8.128    352
       3246.92   8.125    366
       2695.31   6.745     30
       2692.72   6.738     32
       2692.11   6.737     36
       2686.46   6.723    795
       2684.02   6.716    793
       2680.51   6.708     56
       2679.75   6.706     54
       2675.02   6.694    595
       2671.36   6.685     55
       2666.32   6.672    872
       2633.67   6.590     36
       2629.70   6.581    536
       2627.26   6.574    454
       2621.00   6.559    387
       2618.56   6.553    367
    

in DMSO-d6



KBr disc



nujol mull