图谱信息 供应商 相关产品
网站主页CAS数据库列表 2799-07-7更多图谱S-三苯甲基-L-半胱氨酸(2799-07-7)红外图谱(IR1)

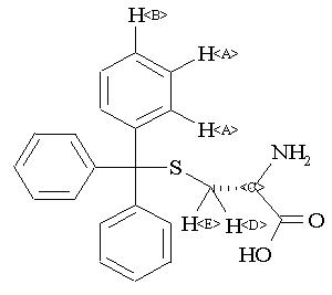
S-三苯甲基-L-半胱氨酸

产品名称 S-三苯甲基-L-半胱氨酸

CAS号2799-07-7

分子式C22H21NO2S

分子量363.47

展开


  • Mass

    MS2014-05045CW      
    S-trityl-L-cysteine
    C22H21NO2S          (Mass of molecular ion:    363)
    

       Source Temperature: 255 °C
       Sample Temperature: 100 °C
       Direct, 70 eV
    

          17.0       1.2
          18.0       4.2
          27.0       2.5
          28.0       2.4
          30.0       1.1
          32.0       1.1
          34.0       2.2
          39.0       3.1
          41.0       1.5
          42.0       3.5
          43.0       1.1
          44.0       8.2
          45.0       1.0
          50.0       1.6
          51.0       4.9
          52.0       1.1
          62.0       1.0
          63.0       3.3
          64.0       1.0
          65.0       1.2
          72.0       1.1
          74.0       2.3
          75.0       2.3
          76.0       2.4
          77.0       3.7
          78.0       3.1
          86.0       1.1
          87.0       1.9
          88.0       1.7
          89.0       2.1
          91.0       3.4
          93.5       1.0
          94.5       3.2
         100.0       1.4
         101.0       3.1
         102.0       1.1
         106.5       3.2
         107.0       1.6
         107.5       3.8
         108.0       1.5
         113.0       5.3
         113.5       1.3
         114.0       2.2
         115.0       5.8
         118.5       2.3
         119.0       2.6
         119.5       7.4
         120.0       5.1
         120.5       1.5
         121.0       1.0
         121.5       1.6
         126.0       1.5
         139.0       5.0
         150.0       1.2
         151.0       1.4
         152.0       3.7
         163.0       6.0
         164.0       6.6
         165.0     100.0
         166.0      19.8
         167.0       9.6
         168.0       1.3
         176.0       1.7
         187.0       1.7
         188.0       1.1
         189.0       3.5
         200.0       1.7
         201.0       1.3
         202.0       5.5
         203.0       1.6
         213.0       3.6
         214.0       1.1
         215.0      11.1
         216.0       2.7
         226.0       5.6
         227.0       3.4
         228.0      12.8
         229.0       3.1
         237.0       2.6
         238.0       1.5
         239.0      20.0
         240.0       7.8
         241.0      35.7
         242.0      33.9
         243.0      89.6
         244.0      28.2
         245.0       4.0
    

400 MHz in DMSO-d6


  • 1H NMR 399.65 MHz
    C22 H21 N O2 S 0.036 g : 0.5 ml DMSO-d6
    S-trityl-L-cysteine
    ChemicalStructure
        Assign.     Shift(ppm)
    A 7.33 B 7.24 C 2.978 D *1 2.582 E *1 2.451

         Hz     ppm     Int.
    

       2931.64   7.336    907
       2927.37   7.325   1000
       2923.22   7.315     93
       2919.56   7.306     48
       2918.09   7.302     53
       2916.50   7.298     61
       2914.79   7.294     42
       2908.94   7.279     63
       2908.20   7.277     61
       2904.05   7.267     92
       2899.90   7.257    148
       2895.63   7.246    159
       2891.48   7.236    106
       2886.84   7.224     75
       2885.01   7.219     67
       2878.30   7.203     36
       1188.72   2.975     32
       1029.54   2.577     34
        989.62   2.477     34
        980.59   2.454     34
    

in DMSO-d6



KBr disc



nujol mull