图谱信息 供应商 相关产品
网站主页CAS数据库列表 28052-84-8更多图谱DL-5-甲氧基色氨酸(28052-84-8)质谱(MS)

DL-5-甲氧基色氨酸

产品名称 DL-5-甲氧基色氨酸

CAS号28052-84-8

分子式C12H14N2O3

分子量234.25

展开


  • Mass

    MS-NW-7542          
    5-methoxy-DL-tryptophan
    C12H14N2O3          (Mass of molecular ion:    234)
    

       Source Temperature: 230 °C
       Sample Temperature: 180 °C
       Direct, 75 eV
    

          28.0       2.9
          51.0       1.1
          63.0       1.5
          73.0       1.4
          77.0       1.2
          87.0       1.6
          89.0       2.7
          90.0       2.4
          91.0       1.1
          94.5       1.3
         102.0       1.0
         116.0       1.7
         117.0       7.7
         118.0       1.8
         129.0       1.5
         130.0       1.6
         132.0       1.0
         144.0       1.7
         145.0      13.2
         146.0       3.1
         147.0       1.4
         159.0       2.3
         160.0     100.0
         161.0      12.3
         162.0       1.6
         173.0       1.4
         188.0       1.6
         189.0       2.5
         234.0       6.2
    

400 MHz in DMSO-d6


  • 1H NMR 399.65 MHz
    C12 H14 N2 O3 saturated in DMSO-d6
    5-methoxy-DL-tryptophan
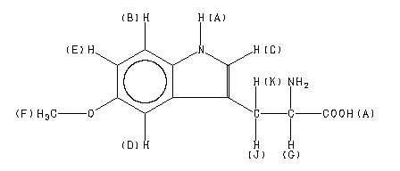
    ChemicalStructure
        Assign.     Shift(ppm)
    A 10.9 B 7.244 C 7.206 D 7.107 E 6.704 F 3.746 G 3.518 J *1 3.286 K *1 2.996

         Hz     ppm     Int.
    

       4356.80  10.902     74
       2899.71   7.256    153
       2891.10   7.235    169
       2881.03   7.209    104
       2878.83   7.204    105
       2841.83   7.111    117
       2839.45   7.105    121
       2685.04   6.719     93
       2682.66   6.713     89
       2676.25   6.697     87
       2673.86   6.691     89
       1497.57   3.748   1000
       1493.54   3.738     44
       1413.50   3.537     32
       1413.13   3.536     32
       1412.58   3.535     32
       1412.21   3.534     31
       1409.28   3.527     38
       1408.37   3.525     36
       1404.89   3.516     40
       1402.87   3.511     33
       1401.04   3.506     38
       1323.38   3.312     34
       1319.53   3.302     34
       1319.17   3.301     35
       1308.18   3.274     44
       1304.33   3.264     39
       1208.72   3.025     44
       1199.92   3.003     44
       1193.51   2.987     39
       1184.90   2.965     34
    

in DMSO-d6



KBr disc



nujol mull