
4-氨基-3-甲基苯酚
产品名称
4-氨基-3-甲基苯酚
CAS号2835-99-6
分子式C7H9NO
分子量123.15
InChIInChI=1S/C7H9NO/c1-5-4-6(9)2-3-7(5)8/h2-4,9H,8H2,1H3
InChIKeyQGNGOGOOPUYKMC-UHFFFAOYSA-N
SmilesC1(O)=CC=C(N)C(C)=C1
展开
收起
-
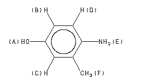
Assign. Shift(ppm)
A 8.29
B 6.444
C 6.415
D 6.357
E 4.14
F 1.985
Spectral Code: 1H NMR : 400 MHz in DMSO-d6
-
ppm Int. Assign.
148.30 770 1
138.38 675 2
122.61 720 3
116.81 865 4
115.19 1000 5
112.90 895 6
17.47 895 7
Spectral Code: 13C NMR : in DMSO-d6
-
Spectral Code: IR : KBr disc
4-氨基-3-甲基苯酚(2835-99-6)红外图谱(IR1) 相关产品图谱