图谱信息 供应商 相关产品
网站主页CAS数据库列表 28657-75-2更多图谱6-氨基-3,4-亚甲二氧基苯乙酮(28657-75-2)核磁图(1HNMR)

6-氨基-3,4-亚甲二氧基苯乙酮

产品名称 6-氨基-3,4-亚甲二氧基苯乙酮

CAS号28657-75-2

分子式C9H9NO3

分子量179.17

展开


  • Mass

    MS2014-05011CW      
    6-acetyl-1,3-benzodioxol-5-amine
    C9H9NO3             (Mass of molecular ion:    179)
    

       Source Temperature: 250 °C
       Sample Temperature:  25 °C
       Direct, 70 eV
    

          18.0       2.6
          28.0       1.4
          39.0       2.7
          41.0       1.3
          43.0      10.3
          50.0       2.3
          51.0       6.1
          52.0       7.7
          53.0       3.0
          55.0       1.2
          57.0       1.2
          62.0       1.0
          63.0       1.2
          65.0       2.1
          66.0       1.3
          68.0       3.2
          69.0       1.6
          76.0       2.0
          77.0       2.1
          78.0       9.3
          79.0       4.2
          80.0       6.2
          81.0       1.4
          81.5       2.4
          82.0       2.3
          89.5       2.6
          92.0       1.4
          94.0       2.1
         106.0      12.8
         107.0       1.4
         108.0       1.3
         109.0       3.5
         120.0       2.4
         121.0       2.1
         134.0       2.0
         136.0      44.3
         137.0       3.8
         148.0       1.5
         149.0       1.0
         150.0       4.5
         164.0      96.8
         165.0      12.0
         166.0       1.3
         178.0       1.7
         179.0     100.0
         180.0      13.9
         181.0       1.5
    

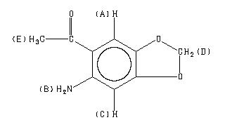
400 MHz in CDCl3


  • 1H NMR 399.65 MHz
    C9 H9 N O3 0.037 g : 0.5 ml CDCl3
    6-acetyl-1,3-benzodioxol-5-amine
    ChemicalStructure
        Assign.     Shift(ppm)
    A 7.072 B 6.45 C 6.133 D 5.901 E 2.472

         Hz     ppm     Int.
    

       2826.54   7.073    313
       2577.03   6.449     30
       2451.66   6.135    324
       2358.52   5.902    696
        988.28   2.473   1000
    

in CDCl3



KBr disc



nujol mull