-
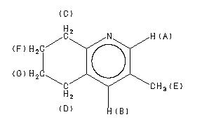
MS-IW-1361 3-methyl-5,6,7,8-tetrahydroquinoline C10H13N (Mass of molecular ion: 147)
Source Temperature: 230 °C Sample Temperature: 160 °C Reservoir, 75 eV
27.0 1.4 39.0 4.8 41.0 1.7 50.0 1.5 51.0 4.3 52.0 2.3 53.0 2.4 63.0 2.6 65.0 4.9 65.5 1.3 66.0 1.8 71.5 1.3 72.5 1.1 77.0 8.1 78.0 3.4 79.0 3.3 89.0 1.6 90.0 1.0 91.0 7.4 92.0 2.4 93.0 4.5 103.0 2.2 104.0 7.4 105.0 2.1 106.0 4.5 107.0 1.5 115.0 3.2 116.0 1.5 117.0 8.0 118.0 10.2 119.0 31.7 120.0 4.6 121.0 1.1 128.0 1.2 129.0 1.4 130.0 7.8 131.0 16.0 132.0 34.2 133.0 3.8 143.0 2.3 144.0 10.4 145.0 3.4 146.0 100.0 147.0 96.6 148.0 11.5
400 MHz in CDCl3
90 MHz in CDCl3
-
1H NMR 399.65 MHz C10 H13 N 20.8 mg : 0.5 ml CDCl3 3-methyl-5,6,7,8-tetrahydroquinoline 
Assign. Shift(ppm)
A 8.176 B 7.157 C 2.875 D 2.721 E 2.252 F 1.873 G 1.787
Hz ppm Int.3268.07 8.178 166 3267.33 8.176 163 3266.72 8.174 168 2860.96 7.159 173 2860.47 7.158 171 2859.99 7.157 172 2859.50 7.156 171 1155.27 2.891 116 1149.05 2.876 240 1142.58 2.859 139 1093.75 2.737 129 1087.65 2.722 234 1081.18 2.706 125 900.15 2.253 1000 761.84 1.907 47 758.54 1.899 45 755.74 1.892 102 752.69 1.884 91 752.20 1.883 100 750.49 1.878 151 748.41 1.873 68 746.70 1.869 107 746.09 1.867 98 744.38 1.863 177 740.23 1.853 56 737.92 1.847 75 735.72 1.841 36 726.93 1.819 35 724.49 1.813 79 722.53 1.808 64 718.26 1.798 183 716.43 1.793 110 712.16 1.782 161 711.18 1.780 92 709.96 1.777 99 707.28 1.770 110 703.98 1.762 47 701.17 1.755 42 700.44 1.753 35
-
1H NMR 89.56 MHz C10 H13 N 0.04 ml : 0.5 ml CDCl3 3-methyl-5,6,7,8-tetrahydroquinoline 
Assign. Shift(ppm)
A 8.170 B 7.142 C 2.87 D 2.71 E 2.244 F 1.90 to 1.74 400MHZ : HSP-40-251
Hz ppm Int.732.50 8.179 169 731.69 8.170 167 730.88 8.161 171 640.19 7.149 176 639.63 7.142 174 639.06 7.136 171 262.69 2.934 86 262.31 2.929 86 262.00 2.926 85 261.19 2.917 81 257.13 2.872 190 253.88 2.835 88 253.50 2.831 87 250.38 2.796 167 246.63 2.754 83 243.06 2.714 197 238.13 2.659 127 201.00 2.245 1000 173.50 1.938 52 173.13 1.934 50 170.44 1.904 118 168.75 1.885 126 166.56 1.860 353 163.81 1.830 286 162.75 1.818 295 159.88 1.786 341 157.38 1.758 144 155.63 1.738 114 153.56 1.715 56 153.19 1.711 55
更多供应商





