图谱信息 供应商 相关产品
网站主页CAS数据库列表 2873-29-2更多图谱乙酰化葡萄烯糖(2873-29-2)核磁图(13CNMR)

乙酰化葡萄烯糖

产品名称 乙酰化葡萄烯糖

CAS号2873-29-2

分子式C12H16O7

分子量272.25

展开


  • Mass

    MS-IW-9102          
    tri-O-acetyl-D-glucal
    C12H16O7            (Mass of molecular ion:    272)
    

       Source Temperature: 120 °C
       Sample Temperature: 100 °C
       Direct, 75 eV
    

          15.0       3.9
          27.0       1.8
          28.0       1.3
          29.0       1.7
          39.0       2.0
          41.0       1.4
          42.0       2.0
          43.0     100.0
          44.0       2.5
          45.0       2.6
          53.0       1.2
          55.0       2.5
          56.0       1.1
          57.0       1.4
          60.0       1.9
          61.0       2.0
          69.0       1.4
          71.0       1.6
          73.0       6.1
          81.0       5.2
          82.0       1.7
          83.0       2.1
          84.0       1.0
          86.0      10.9
          97.0      81.3
          98.0       5.0
          99.0       1.7
         109.0       1.5
         110.0      26.7
         111.0      10.8
         112.0       1.0
         115.0       6.4
         116.0       1.7
         127.0       1.0
         128.0      10.9
         129.0       1.0
         139.0      22.1
         140.0       1.8
         145.0       1.3
         152.0       9.5
         153.0       4.6
         170.0       4.8
         213.0       3.8
    

400 MHz in CDCl3


  • 1H NMR 399.65 MHz
    C12 H16 O7 0.041 g : 0.5 ml CDCl3
    tri-O-acetyl-D-glucal
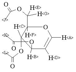
    ChemicalStructure
        Assign.     Shift(ppm)
    A 6.477 B 5.347 C 5.231 D 4.855 E *1 4.408 F 4.264 G *1 4.206 J *2 2.101 K *2 2.084 L *2 2.053 ASSIGNED BY H-H COSY

         Hz     ppm     Int.
    

       2592.53   6.488     74
       2591.31   6.484     74
       2586.43   6.472     75
       2585.08   6.469     76
       2141.97   5.360     33
       2141.36   5.359     33
       2140.75   5.357     31
       2139.53   5.354     32
       2138.79   5.352     36
       2138.18   5.351     37
       2137.21   5.348     51
       2136.35   5.346     44
       2135.74   5.345     43
       2135.01   5.343     39
       2133.79   5.340     40
       2133.06   5.338     42
       2132.45   5.336     41
       2131.71   5.334     35
       2096.92   5.247     77
       2091.19   5.233     65
       2089.36   5.228     81
       2083.62   5.214     63
       1945.07   4.867     82
       1941.77   4.859     79
       1938.96   4.852     80
       1935.67   4.844     78
       1771.48   4.433     55
       1765.75   4.419     65
       1759.40   4.403     71
       1753.78   4.389     82
       1709.47   4.278     32
       1709.11   4.277     32
       1704.10   4.264     44
       1701.78   4.259     34
       1696.04   4.244     32
       1687.62   4.223     94
       1684.57   4.216     64
       1675.66   4.193     65
       1672.61   4.186     53
        842.90   2.110     43
        839.84   2.102    925
        833.01   2.085   1000
        820.43   2.053    987
    

in CDCl3



KBr disc



nujol mull