图谱信息 供应商 相关产品
网站主页CAS数据库列表 2876-78-0更多图谱1-萘乙酸甲酯(2876-78-0)核磁图(13CNMR)

1-萘乙酸甲酯

产品名称 1-萘乙酸甲酯

CAS号2876-78-0

分子式C13H12O2

分子量200.23

展开


  • Mass

    MS-NW-5866          
    methyl 1-naphthylacetate
    C13H12O2            (Mass of molecular ion:    200)
    

       Source Temperature: 260 °C
       Sample Temperature: 190 °C
       Reservoir, 75 eV
    

          15.0       3.0
          39.0       2.0
          50.0       1.0
          51.0       1.4
          57.5       2.6
          59.0       1.4
          62.0       1.4
          63.0       3.1
          65.0       1.1
          69.5       1.1
          70.5       2.9
          74.0       1.0
          75.0       1.1
          87.0       1.0
          89.0       1.9
         113.0       1.1
         115.0      16.1
         116.0       1.7
         128.0       1.0
         139.0       7.4
         140.0       3.0
         141.0     100.0
         142.0      11.6
         200.0      45.6
         201.0       6.7
    

400 MHz in CDCl3


  • 1H NMR 399.65 MHz
    C13 H12 O2 0.05 ml : 0.5 ml CDCl3
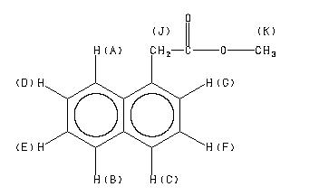
    methyl 1-naphthylacetate
    ChemicalStructure
        Assign.     Shift(ppm)
    A 7.949 B 7.790 C 7.722 D 7.473 E 7.426 F 7.36 G 7.34 J 4.002 K 3.590 ASSIGNED BY C-H COSY

         Hz     ppm     Int.
    

       3181.64   7.962     97
       3180.91   7.960    106
       3173.34   7.941    109
       3172.49   7.939    110
       3118.41   7.803     96
       3117.68   7.802     94
       3117.07   7.800     85
       3110.47   7.783    115
       3109.01   7.780    105
       3090.94   7.735     75
       3088.99   7.730     77
       3083.62   7.716     74
       3081.67   7.711     83
       2996.09   7.497     55
       2994.63   7.494     60
       2989.26   7.480    106
       2987.79   7.477    127
       2986.21   7.473     55
       2980.96   7.459    105
       2979.37   7.455     92
       2974.73   7.444    102
       2973.39   7.440    107
       2967.90   7.427     66
       2966.55   7.423    124
       2965.45   7.421     96
       2959.84   7.407     55
       2958.62   7.404     50
       2950.32   7.383     67
       2943.24   7.365    200
       2936.04   7.347    291
       2934.94   7.344    211
       2930.05   7.332     49
       1599.37   4.002    575
       1434.81   3.591   1000
    

in CDCl3



liquid film



4880 A,200 M,liquid