图谱信息 供应商 相关产品
网站主页CAS数据库列表 2882-15-7更多图谱5-甲氧基-2-甲基-3-吲哚乙酸(2882-15-7)红外图谱(IR1)

5-甲氧基-2-甲基-3-吲哚乙酸

产品名称 5-甲氧基-2-甲基-3-吲哚乙酸

CAS号2882-15-7

分子式C12H13NO3

分子量219.24

展开


  • Mass

    MS-IW-4648          
    5-methoxy-2-methyl-3-indoleacetic acid
    C12H13NO3           (Mass of molecular ion:    219)
    

       Source Temperature: 170 °C
       Sample Temperature: 140 °C
       Direct, 75 eV
    

          28.0       1.4
          44.0       1.2
          51.0       1.7
          52.0       1.2
          63.0       2.1
          77.0       2.9
          86.5       1.5
          87.0       3.4
          89.0       2.1
          90.0       1.0
         102.0       1.1
         103.0       2.4
         115.0       1.2
         116.0       1.0
         130.0       6.9
         131.0      10.9
         132.0       1.9
         143.0       1.8
         144.0       1.0
         158.0       7.4
         159.0      15.4
         160.0       4.4
         173.0       4.2
         174.0     100.0
         175.0      13.9
         176.0       4.3
         218.0       1.6
         219.0      44.0
         220.0       6.0
    

400 MHz in DMSO-d6


  • 1H NMR 399.65 MHz
    C12 H13 N O3 0.041 g : 0.5 ml DMSO-d6
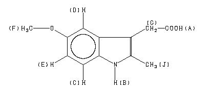
    5-methoxy-2-methyl-3-indoleacetic acid
    ChemicalStructure
        Assign.     Shift(ppm)
    A 12.1 B 10.6 C 7.129 D 6.896 E 6.635 F 3.723 G 3.531 J 2.295

         Hz     ppm     Int.
    

       4820.76  12.063    142
       4255.50  10.649    107
       2853.73   7.141    147
       2844.94   7.119    160
       2757.21   6.900    132
       2754.82   6.894    136
       2657.38   6.650     94
       2655.00   6.644     89
       2648.77   6.628     87
       2646.21   6.622     83
       1488.04   3.724   1000
       1411.48   3.532    392
        917.30   2.296    727
    

KBr disc



nujol mull