图谱信息 供应商 相关产品
网站主页CAS数据库列表 28822-58-4更多图谱3-异丁基-1-甲基黄嘌呤(28822-58-4)红外图谱(IR2)

3-异丁基-1-甲基黄嘌呤

产品名称 3-异丁基-1-甲基黄嘌呤

CAS号28822-58-4

分子式C10H14N4O2

分子量222.24

展开


  • Mass

    MS-NW-6709          
    3-isobutyl-1-methyl-2,6(1H,3H)-purinedione
    C10H14N4O2          (Mass of molecular ion:    222)
    

       Source Temperature: 210 °C
       Sample Temperature: 150 °C
       Direct, 75 eV
    

          15.0       4.9
          26.0       1.1
          27.0      13.9
          28.0      20.2
          29.0      13.6
          30.0       2.8
          38.0       2.4
          39.0      17.1
          40.0      20.9
          41.0      26.5
          42.0       7.2
          43.0       5.5
          51.0       1.0
          52.0       2.5
          53.0      12.6
          54.0      12.8
          55.0       5.9
          56.0       4.3
          57.0       3.0
          58.0       5.8
          65.0       2.0
          66.0       7.2
          67.0      31.1
          68.0       8.9
          69.0       1.7
          70.0       1.5
          80.0       2.2
          81.0       3.9
          82.0       2.7
          83.0       1.4
          93.0       3.6
          94.0      10.8
          95.0       6.7
          96.0       1.9
         108.0       2.1
         109.0      19.9
         110.0       7.5
         111.0       1.0
         120.0       1.9
         121.0       1.7
         122.0     100.0
         123.0       9.6
         124.0       1.1
         136.0       6.2
         137.0       7.2
         138.0       3.3
         149.0       1.3
         150.0       4.0
         151.0       2.5
         166.0      72.0
         167.0       9.8
         179.0      14.5
         180.0       4.9
         207.0       1.6
         222.0      13.4
         223.0       1.9
    

90 MHz in DMSO-d6

400 MHz in DMSO-d6


  • 1H NMR 89.56 MHz
    C10 H14 N4 O2 0.044 g : 0.5 ml DMSO-d6
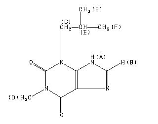
    3-isobutyl-1-methyl-2,6(1H,3H)-purinedione
    ChemicalStructure
        Assign.     Shift(ppm)
    A 13.54 B 8.018 C 3.830 D 3.267 E 2.23 F 0.882 DMSO-D6 SIGNAL AT 2.5 PPM REMOVED

         Hz     ppm     Int.
    

       1212.35  13.537     24
        718.12   8.019    376
        347.09   3.876    180
        339.75   3.794    206
        292.58   3.267   1000
        285.06   3.183     25
        205.93   2.300     31
        199.18   2.224     39
        192.26   2.147     33
         82.29   0.919    655
         75.62   0.845    585
         66.74   0.746     25
    


  • 1H NMR 399.65 MHz
    C10 H14 N4 O2 0.035 g : 0.5 ml DMSO-d6
    3-isobutyl-1-methyl-2,6(1H,3H)-purinedione
    ChemicalStructure
        Assign.     Shift(ppm)
    A 13.6 B 8.036 C 3.829 D 3.266 E 2.215 F 0.881

         Hz     ppm     Int.
    

       5425.65  13.577     39
       3211.89   8.037    258
       1534.47   3.840    221
       1526.99   3.821    225
       1305.40   3.267   1000
        892.56   2.234     38
        885.72   2.217     49
        878.88   2.200     39
        355.57   0.890    819
        348.95   0.874    768
    

in DMSO-d6



KBr disc



nujol mull