-
MS-IW-0735 ethyl L-methioninate hydrochloride C7H15NO2S HCl (Mass of molecular ion: 177)
Source Temperature: 140 °C Sample Temperature: 110 °C Direct, 75 eV
17.0 1.1 18.0 6.5 27.0 4.4 28.0 8.7 29.0 6.8 30.0 3.6 31.0 1.0 35.0 4.4 36.0 38.5 38.0 12.5 41.0 3.1 42.0 3.1 43.0 3.2 44.0 1.3 45.0 2.4 46.0 1.9 47.0 4.3 48.0 2.0 54.0 2.1 55.0 2.9 56.0 77.8 57.0 7.9 58.0 1.8 59.0 1.0 61.0 97.7 62.0 3.2 63.0 4.5 74.0 21.5 75.0 11.4 83.0 9.3 84.0 1.2 85.0 1.0 87.0 3.7 88.0 4.9 100.0 25.3 101.0 1.8 102.0 12.4 103.0 5.1 104.0 100.0 105.0 6.1 106.0 4.7 114.0 5.3 116.0 13.7 129.0 25.8 130.0 2.3 131.0 27.5 132.0 2.0 133.0 1.3 148.0 9.1 160.0 2.6 177.0 70.6 178.0 9.8 179.0 4.0
400 MHz in CDCl3
-
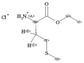
1H NMR 399.65 MHz C7 H15 N O2 S 0.040 g : 0.5 ml CDCl3 ethyl L-methioninate hydrochloride 
Assign. Shift(ppm)
A 8.8 B 4.4 C 4.289 D *1 2.835 E *1 2.748 F 2.39 G 2.135 J 1.319
Hz ppm Int.3519.59 8.807 214 1743.77 4.364 75 1730.35 4.330 45 1726.99 4.322 66 1723.48 4.313 102 1719.82 4.304 203 1716.46 4.295 222 1712.49 4.285 226 1709.29 4.277 209 1705.47 4.268 107 1702.27 4.260 69 1698.46 4.250 40 1141.51 2.857 39 1134.80 2.840 54 1127.78 2.822 73 1120.61 2.804 44 1109.01 2.775 35 1107.03 2.770 31 1101.99 2.758 60 1095.58 2.742 53 1088.41 2.724 34 972.75 2.435 64 966.03 2.418 96 958.56 2.399 94 954.13 2.388 90 947.88 2.372 87 940.55 2.354 54 853.58 2.136 570 534.52 1.338 494 527.34 1.320 1000 520.17 1.302 488
更多供应商






