图谱信息 供应商 相关产品
网站主页CAS数据库列表 2924-16-5更多图谱3-氟苯肼盐酸(2924-16-5)红外图谱(IR1)

3-氟苯肼盐酸

产品名称 3-氟苯肼盐酸

CAS号2924-16-5

分子式C6H8ClFN2

分子量162.59

展开


  • Mass

    MS-NW-6879          
    m-fluorophenylhydrazine hydrochloride
    C6H7FN2 HCl         (Mass of molecular ion:    126)
    

       Source Temperature: 180 °C
       Sample Temperature: 120 °C
       Direct, 75 eV
    

          17.0       1.1
          18.0       4.2
          27.0       1.2
          28.0       2.3
          29.0       8.1
          30.0       2.4
          31.0       5.4
          35.0       5.9
          36.0      26.4
          37.0       2.8
          38.0       8.7
          39.0       4.8
          49.0       1.1
          50.0       6.9
          51.0       6.6
          52.0       3.2
          56.0       1.9
          57.0      11.8
          61.0       2.5
          62.0       4.0
          63.0       8.2
          64.0       2.5
          65.0       1.2
          68.0       2.4
          69.0       3.9
          70.0       5.4
          71.0       1.6
          74.0       3.5
          75.0      12.2
          76.0       1.9
          77.0       9.1
          78.0       1.8
          79.0       1.0
          81.0       4.2
          82.0       8.4
          83.0      41.8
          84.0       4.7
          89.0       3.2
          90.0       2.2
          94.0       1.5
          95.0      14.3
          96.0      18.9
          97.0       9.1
          98.0       4.4
          99.0       1.9
         108.0       1.8
         109.0      18.5
         110.0      28.0
         111.0      10.4
         124.0       1.2
         125.0       5.6
         126.0     100.0
         127.0       7.3
    

400 MHz in DMSO-d6

90 MHz in DMSO-d6


  • 1H NMR 399.65 MHz
    C6 H7 F N2 0.021 g : 0.5 ml DMSO-d6
    m-fluorophenylhydrazine hydrochloride
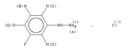
    ChemicalStructure
        Assign.     Shift(ppm)
    A 10.50 B 8.7 C 7.297 D 6.874 E 6.831 G 6.730

         Hz     ppm     Int.
    

       4197.26  10.503   1000
       2933.41   7.340     33
       2933.05   7.340     40
       2932.50   7.338     34
       2931.95   7.337     32
       2931.58   7.336     34
       2931.03   7.334     38
       2930.48   7.333     44
       2930.11   7.332     50
       2928.10   7.327    311
       2924.80   7.319     83
       2924.25   7.318     78
       2921.14   7.310    388
       2920.04   7.307    715
       2913.26   7.290    657
       2911.80   7.286    546
       2907.77   7.276     75
       2907.40   7.275     72
       2905.02   7.269    342
       2902.27   7.263     50
       2764.17   6.917     30
       2761.42   6.910     33
       2761.05   6.909     33
       2760.69   6.908     37
       2760.32   6.907     37
       2759.95   6.906     38
       2759.40   6.905     47
       2759.04   6.904     49
       2758.67   6.903     56
       2755.92   6.896    345
       2753.73   6.891    665
       2751.53   6.885    480
       2747.50   6.875    104
       2744.57   6.868    347
       2743.83   6.866    306
       2742.37   6.862    670
       2740.17   6.857    521
       2737.24   6.850    161
       2734.86   6.844    752
       2733.39   6.840    615
       2732.66   6.838    612
       2726.62   6.823    643
       2725.33   6.820    581
       2724.60   6.818    577
       2719.11   6.804     33
       2705.37   6.770     30
       2705.00   6.769     30
       2703.90   6.766     40
       2703.35   6.765     44
       2699.32   6.755    334
       2696.94   6.749    329
       2694.75   6.743    123
       2693.83   6.741    107
       2690.53   6.733    566
       2688.70   6.728    579
       2685.22   6.719    104
       2682.29   6.712    322
       2680.46   6.708    290
       2679.73   6.706    293
       2677.34   6.700     56
    


  • 1H NMR 89.56 MHz
    C6 H7 F N2 0.034 g : 0.5 ml DMSO-d6
    m-fluorophenylhydrazine hydrochloride
    ChemicalStructure
        Assign.     Shift(ppm)
    A 10.5 B 7.283 C 6.98 to 6.78 D 6.72

         Hz     ppm     Int.
    

        942.19  10.521    451
        665.58   7.432    185
        658.83   7.357    253
        657.36   7.340    453
        650.32   7.262    444
        649.74   7.255    417
        642.26   7.172    311
        625.24   6.982    251
        623.19   6.959    480
        620.99   6.934    439
        617.18   6.892    604
        616.30   6.882    606
        614.10   6.857    482
        611.75   6.831    864
        609.70   6.808   1000
        605.59   6.762    219
        603.24   6.736    501
        601.04   6.712    390
        595.03   6.644    230
        593.42   6.626    200
        592.98   6.622    201
    

KBr disc



nujol mull