网站主页CAS数据库列表
29440-90-2更多图谱alpha,4-Dimethyl-3-hydroxyphenethylamine hydrochloride(29440-90-2)核磁图(13CNMR)
alpha,4-Dimethyl-3-hydroxyphenethylamine hydrochloride
产品名称 alpha,4-Dimethyl-3-hydroxyphenethylamine hydrochloride
CAS号29440-90-2
分子式C10H15NO.ClH
分子量201.69
-
MS-NW-6339 5-(2-aminopropyl)-2-methylphenol hydrochloride C10H15NO HCl (Mass of molecular ion: 165)
Source Temperature: 150 °C Sample Temperature: 100 °C Direct, 75 eV
18.0 3.2 27.0 1.1 36.0 6.5 38.0 2.3 39.0 1.4 42.0 1.7 44.0 100.0 45.0 2.5 51.0 1.1 65.0 1.1 77.0 2.7 91.0 2.0 107.0 1.5 121.0 2.8 122.0 2.5 165.0 2.1
400 MHz in DMSO-d6
-
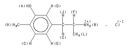
1H NMR 399.65 MHz C10 H15 N O 0.030 g : 0.5 ml DMSO-d6 5-(2-aminopropyl)-2-methylphenol hydrochloride 
Assign. Shift(ppm)
A 9.43 B 8.26 C 6.992 D 6.701 E 6.555 F 3.292 G *1 2.980 J *1 2.530 K 2.084 L 1.120 SIGNAL J OVERLAPPED BY SOLVENT PEAK
Hz ppm Int.3768.01 9.429 83 3311.00 8.285 98 2798.31 7.002 172 2790.83 6.984 180 2678.68 6.703 244 2677.46 6.700 239 2624.05 6.566 138 2622.83 6.563 129 2616.58 6.548 126 2615.20 6.544 116 1200.41 3.004 65 1195.83 2.993 63 1187.29 2.971 76 1182.56 2.959 68 1021.58 2.557 79 1011.81 2.532 196 1009.98 2.528 201 1008.30 2.523 182 998.84 2.500 68 833.28 2.086 1000 451.05 1.129 490 444.64 1.113 475
alpha,4-Dimethyl-3-hydroxyphenethylamine hydrochloride(29440-90-2)核磁图(13CNMR) 相关产品图谱
alpha,4-Dimethyl-3-hydroxyphenethylamine hydrochloride(29440-90-2)核磁图(13CNMR)
alpha,4-Dimethyl-3-hydroxyphenethylamine hydrochloride(29440-90-2)核磁图(1HNMR)
alpha,4-Dimethyl-3-hydroxyphenethylamine hydrochloride(29440-90-2)红外图谱(IR1)
alpha,4-Dimethyl-3-hydroxyphenethylamine hydrochloride(29440-90-2)红外图谱(IR2)
alpha,4-Dimethyl-3-hydroxyphenethylamine hydrochloride(29440-90-2)质谱(MS)





