
[(E)-4-Nitrostyryl]phenyl ketone
产品名称
[(E)-4-Nitrostyryl]phenyl ketone
CAS号2960-55-6
分子式C15H11NO3
分子量253.25
InChIInChI=1S/C15H11NO3/c17-15(13-4-2-1-3-5-13)11-8-12-6-9-14(10-7-12)16(18)19/h1-11H/b11-8+
InChIKeyWDZGGAFMGIOIQS-DHZHZOJOSA-N
SmilesC(C1=CC=CC=C1)(=O)/C=C/C1=CC=C([N+]([O-])=O)C=C1
展开
收起
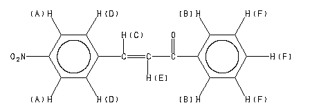
-
Assign. Shift(ppm)
A 8.26
B 8.05
C 7.79
D 7.79
E 7.65
F 7.63 to 7.45
400MHZ:HSP-41-879
Spectral Code: 1H NMR : 90 MHz in CDCl3
-
ppm Int. Assign.
189.59 288 1
148.59 203 2
141.47 441 3
141.09 348 4
137.59 317 5
133.35 411 6
128.94 984 7 *
128.83 1000 8 *
128.59 950 9 *
125.79 470 10
124.21 891 11
Spectral Code: 13C NMR : in CDCl3
-
Spectral Code: IR : nujol mull
[(E)-4-Nitrostyryl]phenyl ketone(2960-55-6)核磁图(1HNMR) 相关产品图谱