图谱信息 供应商 相关产品
网站主页CAS数据库列表 29668-44-8更多图谱1,4-苯并二恶烷-6-甲醛(29668-44-8)核磁图(1HNMR)

1,4-苯并二恶烷-6-甲醛

产品名称 1,4-苯并二恶烷-6-甲醛

CAS号29668-44-8

分子式C9H8O3

分子量164.16

展开


  • Mass

    MS-KW-0529          
    1,4-benzodioxane-6-carbaldehyde
    C9H8O3              (Mass of molecular ion:    164)
    

       Source Temperature: 220 °C
       Sample Temperature: 150 °C
       Reservoir, 75 eV
    

          26.0       1.9
          27.0       3.1
          28.0       2.8
          29.0       2.4
          38.0       1.7
          39.0       1.7
          43.0       1.0
          50.0       7.5
          51.0      17.8
          52.0      12.4
          53.0       3.8
          55.0       1.0
          62.0       2.1
          63.0       5.2
          64.0       1.1
          65.0       1.2
          68.0       1.7
          74.0       3.7
          75.0       2.5
          77.0       3.4
          78.0       1.1
          79.0      25.6
          80.0      21.5
          81.0       3.1
          91.0       1.9
         107.0       8.1
         108.0      12.4
         109.0       2.4
         119.0       1.1
         135.0      14.3
         136.0       4.2
         137.0       3.2
         149.0       6.6
         163.0      90.1
         164.0     100.0
         165.0      10.1
         166.0       1.0
    

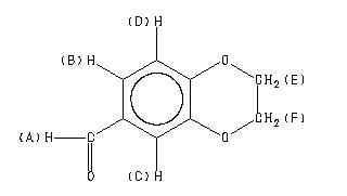
400 MHz in CDCl3


  • 1H NMR 399.65 MHz
    C9 H8 O3 0.037 g : 0.5 ml CDCl3
    1,4-benzodioxane-6-carbaldehyde
    ChemicalStructure
        Assign.     Shift(ppm)
    A 9.817 B 7.40 C 7.39 D 6.978 E *1 4.333 F *1 4.294

         Hz     ppm     Int.
    

       3923.65   9.818   1000
       3923.19   9.817    986
       2961.58   7.411    235
       2959.59   7.406    492
       2956.54   7.398    724
       2954.71   7.394    835
       2952.88   7.389    620
       2950.90   7.384    240
       2793.43   6.990    492
       2789.31   6.980     76
       2788.54   6.978     74
       2788.09   6.977     70
       2784.42   6.968    452
       1737.52   4.348    233
       1736.45   4.345    268
       1734.16   4.340    462
       1732.64   4.336    367
       1730.80   4.331    521
       1729.13   4.327    638
       1728.36   4.325    649
       1723.18   4.312     31
       1719.51   4.303    663
       1718.75   4.301    624
       1717.07   4.297    508
       1715.24   4.292    381
       1713.71   4.289    473
       1711.43   4.283    273
       1710.51   4.281    237
    

in CDCl3



KBr disc



nujol mull