图谱信息 供应商 相关产品
网站主页CAS数据库列表 29883-15-6更多图谱苦杏仁苷(29883-15-6)红外图谱(IR2)

苦杏仁苷

产品名称 苦杏仁苷

CAS号29883-15-6

分子式C20H27NO11

分子量457.43

展开


  • Mass

    MS-NW-2289          
    amygdalin
    C20H27NO11          (Mass of molecular ion:    457)
    

       Source Temperature: 220 °C
       Sample Temperature: 180 °C
       Direct, 75 eV
    

          14.0       2.6
          15.0       8.4
          17.0       6.8
          18.0      30.0
          19.0       8.0
          25.0       1.0
          26.0       4.8
          27.0      15.4
          28.0      12.3
          29.0      24.2
          30.0       6.8
          31.0      21.3
          32.0       2.2
          37.0       2.1
          38.0       3.0
          39.0      12.3
          40.0       2.5
          41.0      13.0
          42.0       9.6
          43.0      31.2
          44.0       8.1
          45.0      16.9
          47.0       2.9
          50.0       6.0
          51.0      12.0
          52.0       4.3
          53.0       4.0
          54.0       2.8
          55.0      12.7
          56.0       7.1
          57.0      35.0
          58.0       2.7
          59.0       2.4
          60.0      41.2
          61.0      18.3
          62.0       2.2
          63.0       4.0
          64.0       1.7
          65.0       2.7
          66.0       1.0
          67.0       1.7
          68.0       3.0
          69.0      21.8
          70.0       7.7
          71.0      16.9
          72.0       5.2
          73.0      60.4
          74.0      10.2
          75.0       2.8
          76.0       2.3
          77.0      19.2
          78.0       4.2
          79.0       4.2
          80.0       1.5
          81.0       6.4
          82.0       2.0
          83.0       2.6
          84.0       2.2
          85.0      32.5
          86.0       5.0
          87.0      14.0
          88.0       2.1
          89.0      16.7
          90.0      10.9
          91.0      12.1
          92.0       1.4
          93.0       1.3
          95.0       1.5
          96.0       2.3
          97.0      13.2
          98.0      11.1
          99.0       8.1
         101.0       5.3
         102.0       1.7
         103.0       6.3
         104.0       1.3
         105.0      19.4
         106.0      17.2
         107.0      10.6
         108.0       1.6
         109.0       5.4
         110.0       1.9
         111.0       1.2
         113.0       1.4
         114.0       1.5
         115.0       8.2
         116.0     100.0
         117.0      55.5
         118.0       5.8
         119.0       5.2
         126.0       1.7
         127.0      22.4
         128.0       2.3
         129.0       1.5
         131.0       6.3
         132.0       2.1
         133.0       6.3
         134.0       1.1
         137.0       1.2
         143.0       5.9
         144.0       7.9
         145.0      28.7
         146.0       2.5
         155.0       2.0
         161.0       4.9
         162.0       1.0
         163.0      12.9
         173.0      14.5
         174.0       1.6
         186.0       1.4
         191.0      21.2
         192.0       1.8
         233.0       1.1
         235.0       1.7
         251.0       2.5
         279.0       1.6
         297.0       3.3
         306.0       3.7
         324.0       2.8
    

400 MHz in D2O


  • 1H NMR 399.65 MHz
    C20 H27 N O11 0.037 g : 0.5 ml D2O
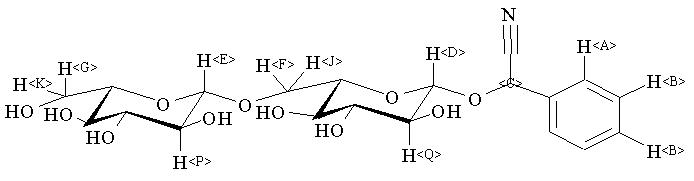
    amygdalin
    ChemicalStructure
        Assign.     Shift(ppm)
    A 7.622 B 7.54 C 5.902 D *1 4.622 E *1 4.591 F *2 4.224 G *3 3.94 J *2 3.91 K *3 3.748 P *4 3.38 Q *4 3.36 PARTIALLY ASSIGNED BY H-H COSY.

         Hz     ppm     Int.
    

       3052.49   7.638    235
       3050.29   7.633    295
       3046.39   7.623    380
       3042.60   7.614    400
       3021.12   7.560   1000
       3018.80   7.554    783
       3016.36   7.548    339
       3015.38   7.546    390
       3014.40   7.543    440
       2359.01   5.903    806
       1851.44   4.633    414
       1843.63   4.614    435
       1839.36   4.603    402
       1831.42   4.583    411
       1695.43   4.243    149
       1693.73   4.239    174
       1683.47   4.213    196
       1681.76   4.209    188
       1581.91   3.959    158
       1579.71   3.953    188
       1575.81   3.943    162
       1569.70   3.928    329
       1567.50   3.923    244
       1563.84   3.914    153
       1558.47   3.900    142
       1506.59   3.770    173
       1500.85   3.756    199
       1494.26   3.739    147
       1488.53   3.725    153
       1455.08   3.641     85
       1451.54   3.633     83
       1451.17   3.632     82
       1447.14   3.622    118
       1445.43   3.617    138
       1441.77   3.608    124
       1440.06   3.604    110
       1429.93   3.578    171
       1420.65   3.555    359
       1419.07   3.551    240
       1411.74   3.533    353
       1410.16   3.529    362
       1403.93   3.513    103
       1400.39   3.505    233
       1398.56   3.500    120
       1394.17   3.489    191
       1392.70   3.485    342
       1388.55   3.475    174
       1386.47   3.470    164
       1383.67   3.463    432
       1378.54   3.450    371
       1374.88   3.441    250
       1369.75   3.428    274
       1368.77   3.425    232
       1359.13   3.401    294
       1351.93   3.383    375
       1351.32   3.382    380
       1342.53   3.360    502
       1334.72   3.340    208
    

KBr disc



nujol mull