-
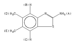
MS-NW-6251 2-amino-5,6-dimethylbenzothiazole C9H10N2S (Mass of molecular ion: 178)
Source Temperature: 160 °C Sample Temperature: 120 °C Direct, 75 eV
18.0 1.0 27.0 1.7 28.0 1.6 38.0 1.1 39.0 5.2 41.0 1.2 45.0 3.5 50.0 1.4 51.0 3.5 52.0 1.3 53.0 1.1 60.0 1.4 63.0 2.3 65.0 3.8 66.0 1.1 69.0 3.7 70.0 1.0 75.0 1.3 77.0 3.4 78.0 1.1 79.0 1.4 82.0 1.0 83.0 1.0 88.0 1.2 89.0 4.1 90.0 1.5 91.0 7.6 92.0 3.1 104.0 1.2 106.0 1.2 109.0 1.7 116.0 1.5 117.0 1.9 118.0 3.7 119.0 4.5 121.0 2.5 123.0 1.8 124.0 3.7 133.0 1.0 134.0 2.2 135.0 3.2 136.0 6.0 137.0 1.0 145.0 3.6 150.0 6.7 151.0 2.9 163.0 36.5 164.0 3.9 165.0 1.8 177.0 28.1 178.0 100.0 179.0 12.3 180.0 5.5
400 MHz in DMSO-d6
更多供应商







