-
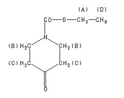
MS-NW-8630 ethyl 4-oxo-1-piperidinecarboxylate C8H13NO3 (Mass of molecular ion: 171)
Source Temperature: 260 °C Sample Temperature: 140 °C Reservoir, 75 eV
15.0 7.6 18.0 1.3 26.0 3.5 27.0 28.0 28.0 36.1 29.0 94.9 30.0 12.2 31.0 1.1 39.0 2.4 40.0 2.9 41.0 8.8 42.0 100.0 43.0 23.1 44.0 3.6 45.0 2.7 53.0 1.7 54.0 4.4 55.0 19.2 56.0 84.6 57.0 47.1 58.0 2.9 60.0 1.0 68.0 1.3 69.0 2.3 70.0 22.4 71.0 5.9 72.0 1.7 73.0 1.1 74.0 2.4 82.0 2.0 84.0 7.0 85.0 3.3 86.0 1.1 87.0 3.2 88.0 2.8 91.0 1.9 97.0 1.6 98.0 41.6 99.0 4.2 100.0 56.9 101.0 9.4 102.0 5.0 112.0 2.2 114.0 12.3 115.0 2.6 116.0 1.1 126.0 18.9 127.0 1.5 128.0 2.9 129.0 2.1 142.0 97.2 143.0 14.3 144.0 1.5 170.0 1.0 171.0 30.4 172.0 5.0
90 MHz in CDCl3
-
1H NMR 89.56 MHz C8 H13 N O3 0.05 ml : 0.5 ml CDCl3 ethyl 4-oxo-1-piperidinecarboxylate 
Assign. Shift(ppm)
A 4.184 B 3.775 C 2.455 D 1.297 C-H COSY
Hz ppm Int.385.88 4.309 136 378.63 4.228 447 375.25 4.190 36 371.56 4.149 473 368.19 4.112 30 364.56 4.071 165 344.81 3.851 294 338.69 3.782 520 332.25 3.710 365 327.63 3.659 30 226.06 2.525 366 219.75 2.454 541 213.50 2.384 310 123.25 1.377 485 120.38 1.345 44 119.19 1.331 55 116.19 1.298 1000 112.88 1.261 61 112.75 1.259 61 112.31 1.255 61 111.25 1.243 57 109.06 1.218 438
更多供应商





