图谱信息 供应商 相关产品
网站主页CAS数据库列表 300-57-2更多图谱烯丙苯(300-57-2)红外图谱(IR1)

烯丙苯

产品名称 烯丙苯

CAS号300-57-2

分子式C9H10

分子量118.18

展开



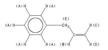
  •     Assign.     Shift(ppm)
    A 7.44 to 7.02 B 5.95 C 5.07 D 5.06 E 3.38
    Spectral Code: 1H NMR : 90 MHz in CDCl3



  •        ppm   Int.  Assign.
    140.04 163 1 137.47 402 2 128.61 1000 3 * 128.43 989 4 * 126.09 446 5 115.75 500 6 40.26 413 7
    Spectral Code: 13C NMR : in CDCl3


  • Spectral Code: IR : liquid film


  • Spectral Code: Raman : 4880 A,200 M,liquid