-
MS-IW-2659 2,4-thiazolidinedicarboxylic acid C5H7NO4S (Mass of molecular ion: 177)
Source Temperature: 150 °C Sample Temperature: 120 °C Direct, 75 eV
17.0 2.2 18.0 10.6 26.0 1.4 27.0 4.9 28.0 13.7 29.0 1.9 30.0 2.8 31.0 1.7 32.0 1.0 33.0 1.0 34.0 2.1 40.0 1.4 41.0 2.7 42.0 4.3 43.0 6.8 44.0 15.4 45.0 10.9 46.0 2.2 47.0 2.1 54.0 4.7 55.0 2.5 56.0 2.1 57.0 4.1 58.0 7.0 59.0 24.6 60.0 2.9 61.0 4.2 68.0 1.1 73.0 1.0 74.0 1.4 85.0 4.8 86.0 75.6 87.0 9.3 88.0 6.1 100.0 1.3 105.0 1.5 113.0 1.6 132.0 100.0 133.0 6.8 134.0 5.1 177.0 2.2
400 MHz in DMSO-d6
-
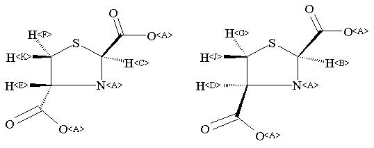
1H NMR 399.65 MHz C5 H7 N O4 S 0.038 g : 0.5 ml DMSO-d6 2,4-thiazolidinedicarboxylic acid 
Assign. Shift(ppm)
A 6. B 5.000 C 4.892 D 4.236 E 3.820 F 3.306 G 3.147 J 2.926 K 2.733 ASSIGNED BY C-H COSY. CIS AND TRANS MIXTURE. J(D,J)=5.8HZ J(D,G)=6.7HZ J(E,F)=6.4HZ J(E,K)=9.6HZ J(F,K)=-10.1HZ J(G,J)=-10.1HZ
Hz ppm Int.1998.44 5.001 593 1955.11 4.893 1000 1699.52 4.253 126 1693.27 4.237 228 1687.01 4.222 128 1535.19 3.842 200 1528.78 3.826 245 1525.57 3.818 247 1519.17 3.802 221 1329.80 3.328 209 1323.39 3.312 201 1319.73 3.303 220 1313.32 3.287 210 1266.78 3.170 136 1260.07 3.153 146 1256.71 3.145 177 1250.00 3.128 157 1177.06 2.946 162 1171.26 2.931 158 1166.99 2.921 133 1161.04 2.906 127 1101.84 2.758 234 1091.92 2.733 359 1082.15 2.708 207
更多供应商





