-
MS-IW-4780 piperidinoacetonitrile C7H12N2 (Mass of molecular ion: 124)
Source Temperature: 210 °C Sample Temperature: 150 °C Reservoir, 75 eV
15.0 2.1 26.0 2.1 27.0 11.1 28.0 9.0 29.0 5.8 30.0 2.3 39.0 7.7 40.0 5.7 41.0 23.6 42.0 23.3 43.0 19.0 44.0 1.7 51.0 1.3 52.0 2.2 53.0 2.7 54.0 5.0 55.0 14.2 56.0 8.7 57.0 6.4 66.0 1.2 67.0 10.8 68.0 10.7 69.0 9.0 70.0 2.6 79.0 2.1 80.0 1.6 81.0 1.8 82.0 21.8 83.0 27.6 84.0 12.0 85.0 1.2 94.0 1.4 95.0 7.0 96.0 15.1 97.0 5.9 98.0 5.4 109.0 3.0 123.0 100.0 124.0 38.6 125.0 3.0
400 MHz in CDCl3
-
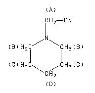
1H NMR 399.65 MHz C7 H12 N2 0.05 ml : 0.5 ml CDCl3 piperidinoacetonitrile 
Assign. Shift(ppm)
A 3.502 B 2.520 C 1.626 D 1.454
Hz ppm Int.1399.78 3.503 1000 1396.97 3.496 65 1396.00 3.494 40 1012.57 2.534 301 1007.20 2.521 364 1001.59 2.507 274 661.38 1.655 127 655.64 1.641 235 650.02 1.627 321 644.29 1.613 257 638.67 1.599 137 591.80 1.481 62 585.69 1.466 123 580.08 1.452 145 574.10 1.437 83 568.48 1.423 34
更多供应商




