
4-二甲氨基-4'-甲基偶氮苯
产品名称
4-二甲氨基-4'-甲基偶氮苯
CAS号3010-57-9
分子式C15H17N3
分子量239.32
InChIInChI=1S/C15H17N3/c1-12-4-6-13(7-5-12)16-17-14-8-10-15(11-9-14)18(2)3/h4-11H,1-3H3
InChIKeyIPIZWPBCCYXHDW-UHFFFAOYSA-N
SmilesC1(N(C)C)=CC=C(N=NC2=CC=C(C)C=C2)C=C1
展开
收起
-
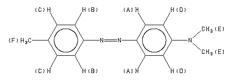
Assign. Shift(ppm)
A 7.85
B 7.77
C 7.26
D 6.73
E 3.025
F 2.389
Spectral Code: 1H NMR : 90 MHz in CDCl3
-
ppm Int. Assign.
152.20 228 1 *
151.24 215 2 *
143.65 205 3
139.60 276 4
129.56 967 5
124.72 964 6
122.15 1000 7
111.49 981 8
40.24 995 9
21.35 363 10
Spectral Code: 13C NMR : in CDCl3
-
Spectral Code: IR : KBr disc
4-二甲氨基-4'-甲基偶氮苯(3010-57-9)核磁图(1HNMR) 相关产品图谱