-
MS-NW-3568 2,6-dihydroxybenzoic acid C7H6O4 (Mass of molecular ion: 154)
Source Temperature: 170 °C Sample Temperature: 120 °C Direct, 75 eV
17.0 2.0 18.0 9.8 26.0 2.7 27.0 6.9 28.0 5.5 29.0 4.2 37.0 3.7 38.0 6.2 39.0 15.8 40.0 2.9 41.0 3.0 42.0 2.3 43.0 1.1 44.0 7.6 45.0 3.4 49.0 1.8 50.0 5.6 51.0 11.9 52.0 25.8 53.0 9.0 54.0 5.4 55.0 6.0 61.0 2.0 62.0 3.2 63.0 6.3 64.0 1.9 65.0 1.2 66.0 1.8 67.0 1.2 68.0 2.0 69.0 7.4 77.0 1.7 79.0 7.6 80.0 20.3 81.0 7.3 82.0 3.2 91.0 1.2 95.0 1.8 107.0 7.9 108.0 90.7 109.0 6.6 110.0 16.0 111.0 1.2 136.0 100.0 137.0 10.2 138.0 1.1 154.0 58.4 155.0 4.8
90 MHz in DMSO-d6
-
1H NMR 89.56 MHz C7 H6 O4 0.034 g : 0.5 ml DMSO-d6 2,6-dihydroxybenzoic acid 
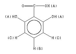
Assign. Shift(ppm)
A 9.95 B 7.242 C 6.381 A-PEAK INCLUDES H2O.
Hz ppm Int.900.39 10.054 68 891.21 9.951 1000 882.32 9.852 66 657.71 7.344 207 649.90 7.257 307 649.12 7.248 280 641.31 7.161 299 575.00 6.421 934 570.41 6.370 65 566.99 6.331 699
更多供应商






